Приказ Департамента по государственной охране объектов культурного наследия Тамбовской области от 10.03.2025 № 100
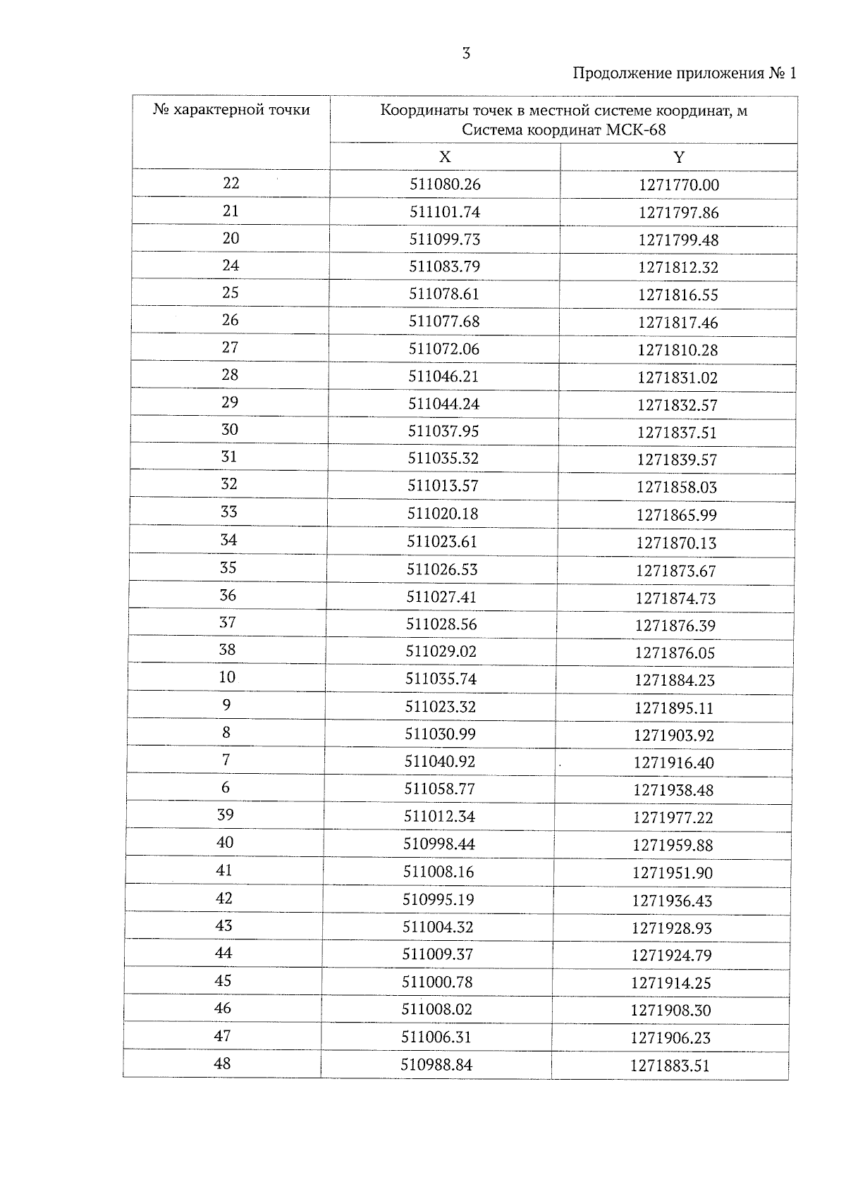
"Об установлении зон охраны объекта культурного наследия регионального значения "Градостроительный комплекс" (Тамбовская область, г. Моршанск, пл. Октябрьская, д. 10) и утверждении требований к градостроительным регламентам в границах территорий данных зон"
(Зарегистрирован 10.03.2025 № 100)
"Об установлении зон охраны объекта культурного наследия регионального значения "Градостроительный комплекс" (Тамбовская область, г. Моршанск, пл. Октябрьская, д. 10) и утверждении требований к градостроительным регламентам в границах территорий данных зон"
(Зарегистрирован 10.03.2025 № 100)
Номер опубликования: 6801202503120010
Дата опубликования:
12.03.2025
