Приказ Министерства имущественных отношений и государственного заказа Тамбовской области от 21.02.2025 № 95
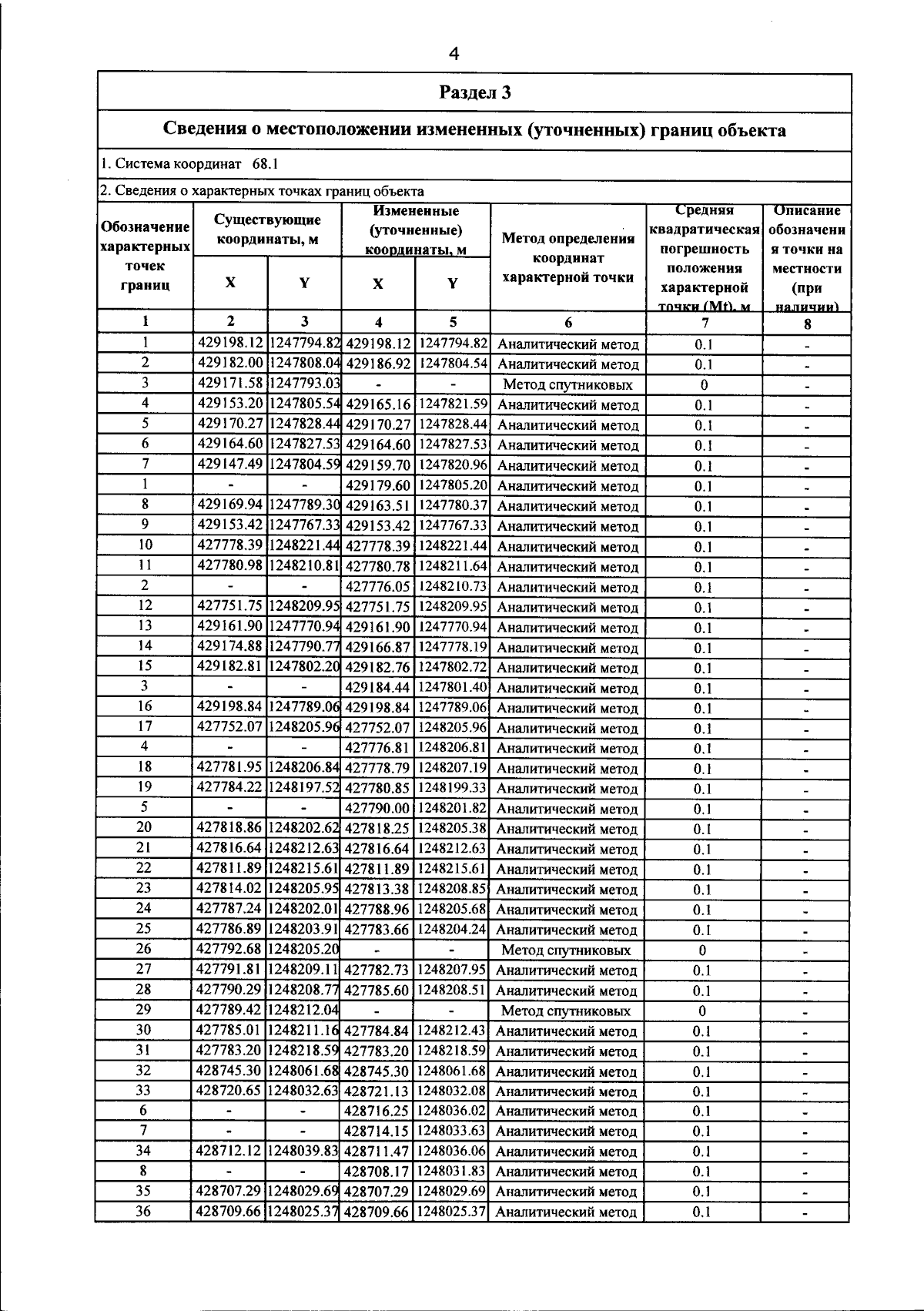
"О внесении изменений в приказ комитета по управлению имуществом Тамбовской области от 07.07.2021 № 497 "Об изменении охранной зоны сети газораспределения и наложении ограничений (обременений) на входящие в нее земельные участки"
(Зарегистрирован 21.02.2025 № 95)
"О внесении изменений в приказ комитета по управлению имуществом Тамбовской области от 07.07.2021 № 497 "Об изменении охранной зоны сети газораспределения и наложении ограничений (обременений) на входящие в нее земельные участки"
(Зарегистрирован 21.02.2025 № 95)
Номер опубликования: 6801202502280003
Дата опубликования:
28.02.2025
