Официальное опубликование правовых актов
ОФИЦИАЛЬНОЕ ОПУБЛИКОВАНИЕ
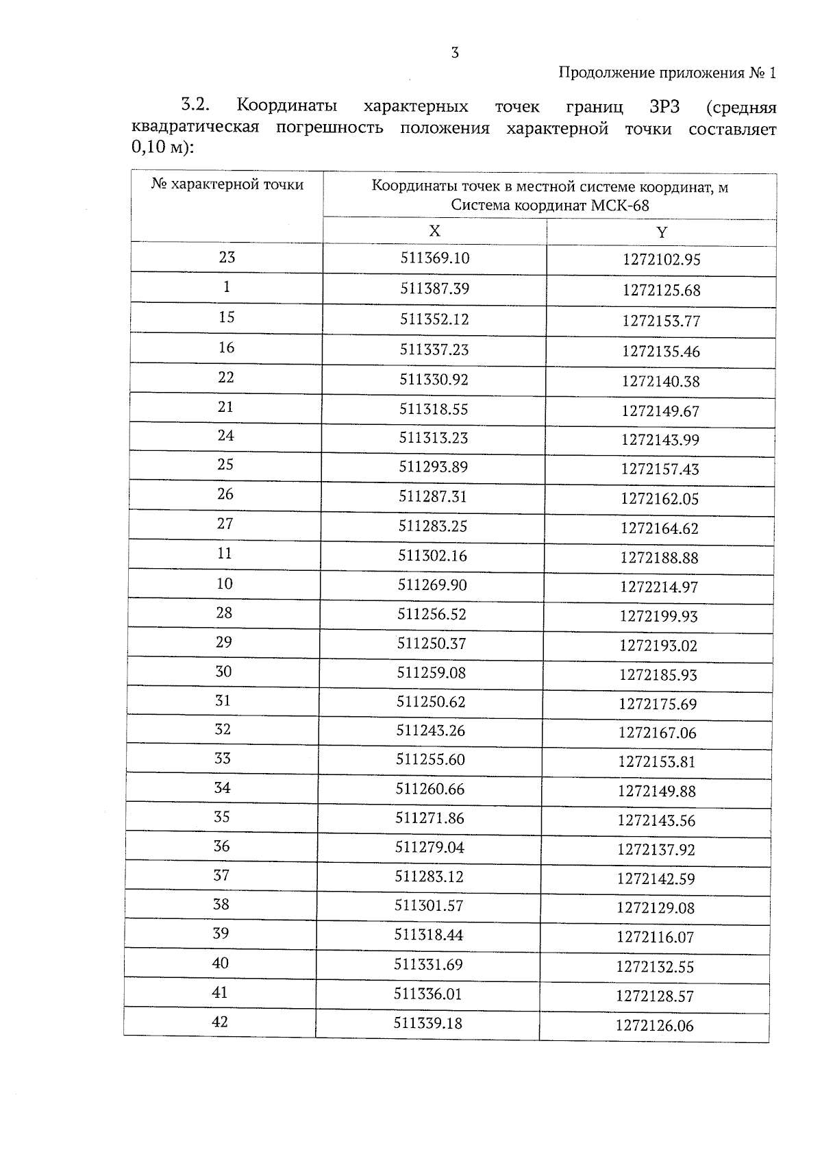
Приказ Департамента по государственной охране объектов культурного наследия Тамбовской области от 18.02.2025 № 79
"Об установлении зон охраны объекта культурного наследия регионального значения "Жилой ансамбль" (Тамбовская область, г. Моршанск, ул. Ленина, д. 25, д. 27) и утверждении требований к градостроительным регламентам в границах территорий данных зон"
(Зарегистрирован 18.02.2025 № 79)
Номер опубликования: 6801202502200010
Дата опубликования: 20.02.2025
Страница №5 из 10:
Увеличить