Официальное опубликование правовых актов
ОФИЦИАЛЬНОЕ ОПУБЛИКОВАНИЕ
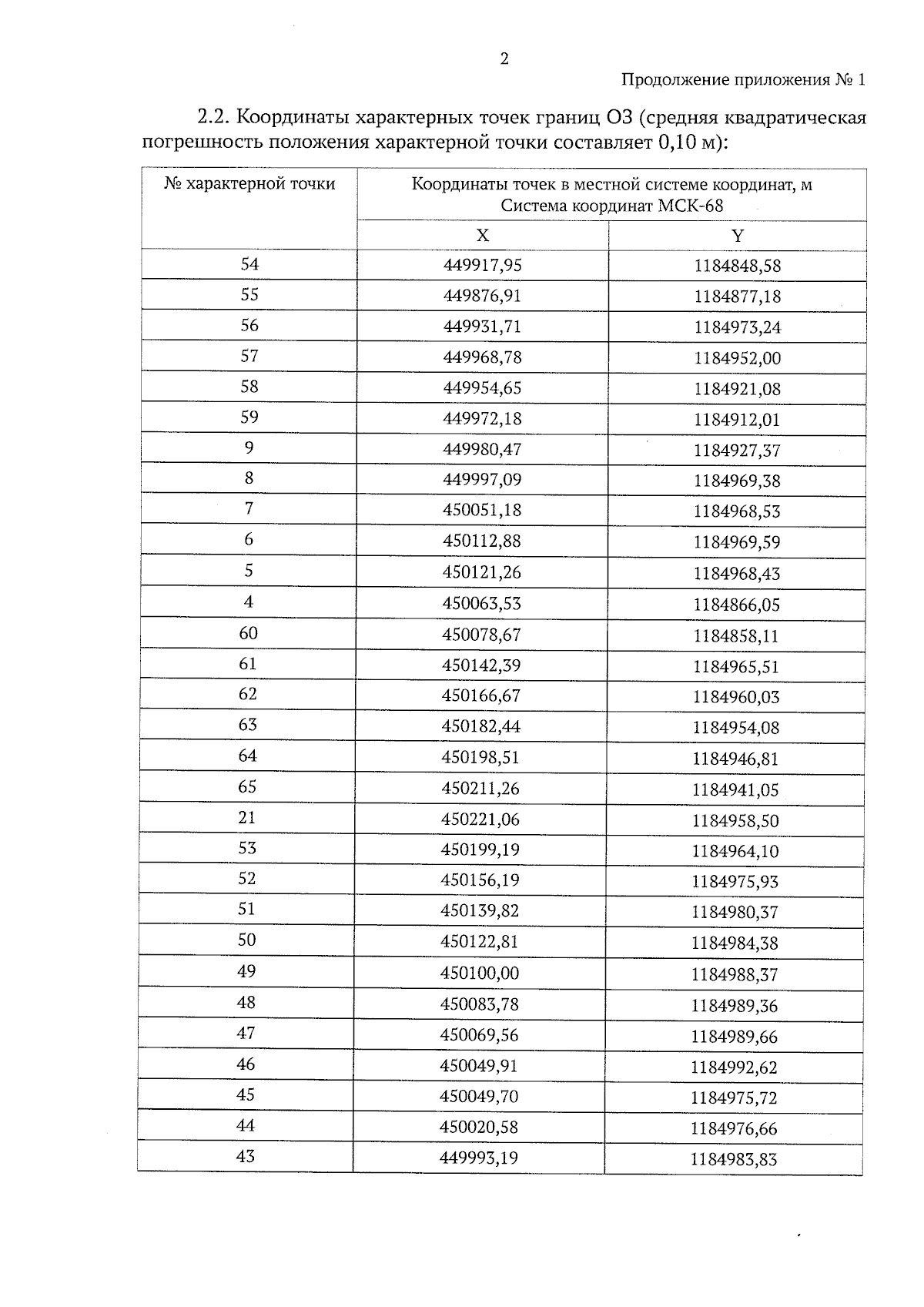
Приказ Департамента по государственной охране объектов культурного наследия Тамбовской области от 18.02.2025 № 73
"Об установлении зон охраны объекта культурного наследия федерального значения "Ильинская церковь" (Тамбовская область, г. Мичуринск, ул. Советская, д. 349) и утверждении требований к градостроительным регламентам в границах территорий данных зон"
(Зарегистрирован 18.02.2025 № 73)
Номер опубликования: 6801202502200009
Дата опубликования: 20.02.2025
Страница №4 из 14:
Увеличить