Официальное опубликование правовых актов
ОФИЦИАЛЬНОЕ ОПУБЛИКОВАНИЕ
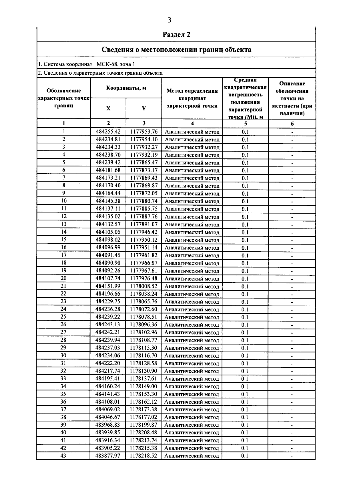
Приказ Министерства имущественных отношений и государственного заказа Тамбовской области от 06.02.2025 № 68
"Об установлении охранных зон газораспределительных сетей и наложении ограничений (обременений) на входящие в них земельные участки"
(Зарегистрирован 06.02.2025 № 68)
Номер опубликования: 6801202502110003
Дата опубликования: 11.02.2025
Страница №13 из 37:
Увеличить