Официальное опубликование правовых актов
ОФИЦИАЛЬНОЕ ОПУБЛИКОВАНИЕ
Приказ Департамента по государственной охране объектов культурного наследия Тамбовской области от 31.01.2025 № 53
"Об установлении зон охраны объекта культурного наследия регионального значения "Козьмодемьяновская церковь" (Тамбовская область, г. Кирсанов, ул. Пушкинская, д. 56-а) и утверждении требований к градостроительным регламентам в границах территорий данных зон"
(Зарегистрирован 31.01.2025 № 53)
Номер опубликования: 6801202502040009
Дата опубликования: 04.02.2025
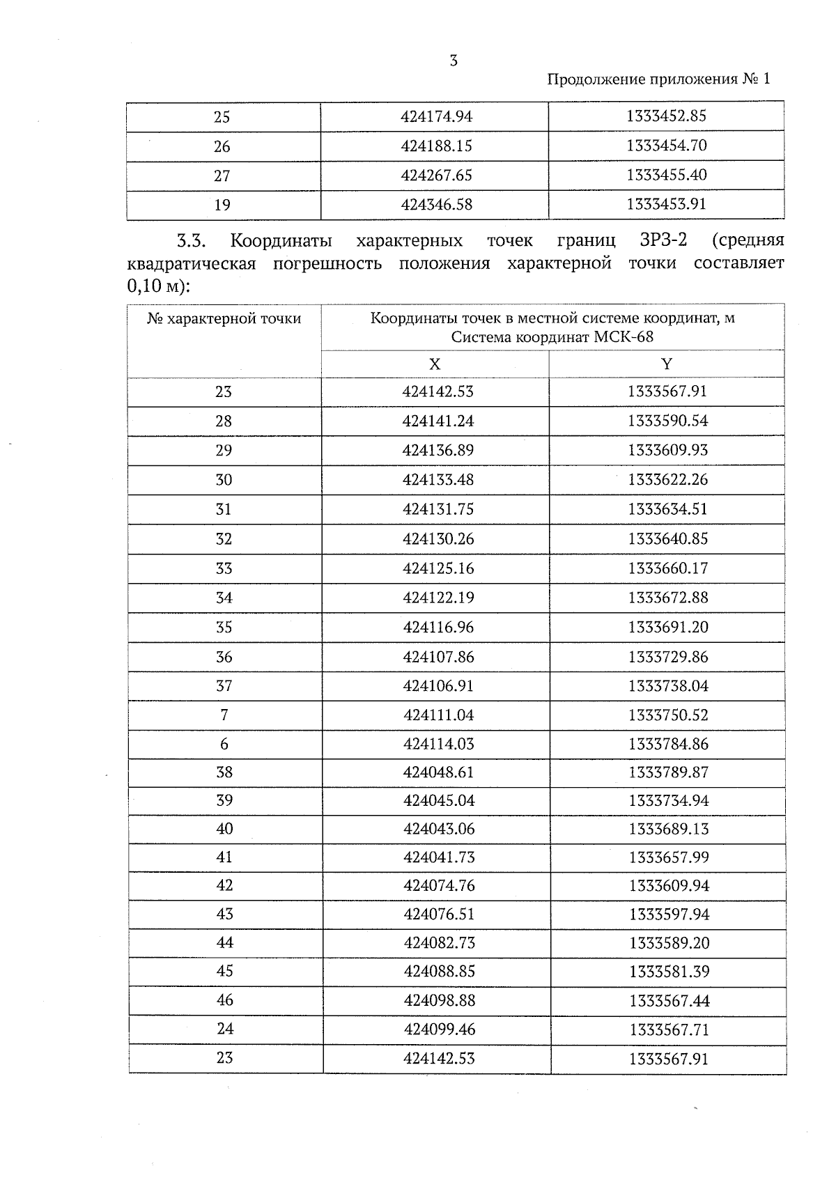
Страница №5 из 12:
Увеличить