Приказ Министерства имущественных отношений и государственного заказа Тамбовской области от 29.01.2025 № 42
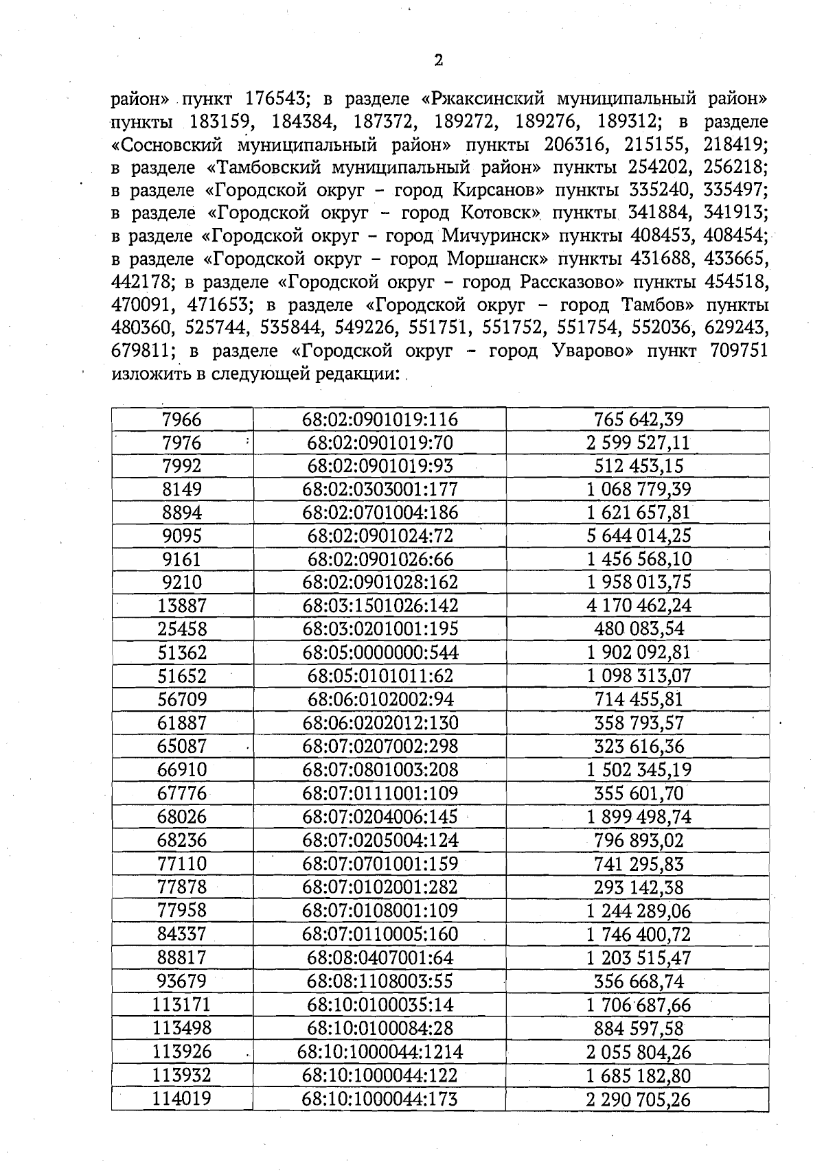
"О внесении изменений в приложение к приказу комитета по управлению имуществом Тамбовской области от 17.11.2020 № 667 "Об утверждении результатов определения кадастровой стоимости объектов недвижимости (за исключением земельных участков), расположенных на территории Тамбовской области"
(Зарегистрирован 29.01.2025 № 42)
"О внесении изменений в приложение к приказу комитета по управлению имуществом Тамбовской области от 17.11.2020 № 667 "Об утверждении результатов определения кадастровой стоимости объектов недвижимости (за исключением земельных участков), расположенных на территории Тамбовской области"
(Зарегистрирован 29.01.2025 № 42)
Номер опубликования: 6801202501310008
Дата опубликования:
31.01.2025
