Официальное опубликование правовых актов
ОФИЦИАЛЬНОЕ ОПУБЛИКОВАНИЕ
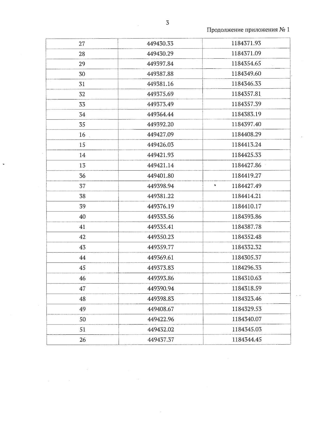
Приказ Департамента по государственной охране объектов культурного наследия Тамбовской области от 28.01.2025 № 36
"Об установлении зон охраны объекта культурного наследия регионального значения "Дом, в котором жил народный художник СССР А.М. Герасимов" (Тамбовская область, г. Мичуринск, ул. Герасимова, д. 88) и утверждении требований к градостроительным регламентам в границах территорий данных зон"
(Зарегистрирован 28.01.2025 № 36)
Номер опубликования: 6801202501310007
Дата опубликования: 31.01.2025
Страница №5 из 10:
Увеличить