Официальное опубликование правовых актов
ОФИЦИАЛЬНОЕ ОПУБЛИКОВАНИЕ
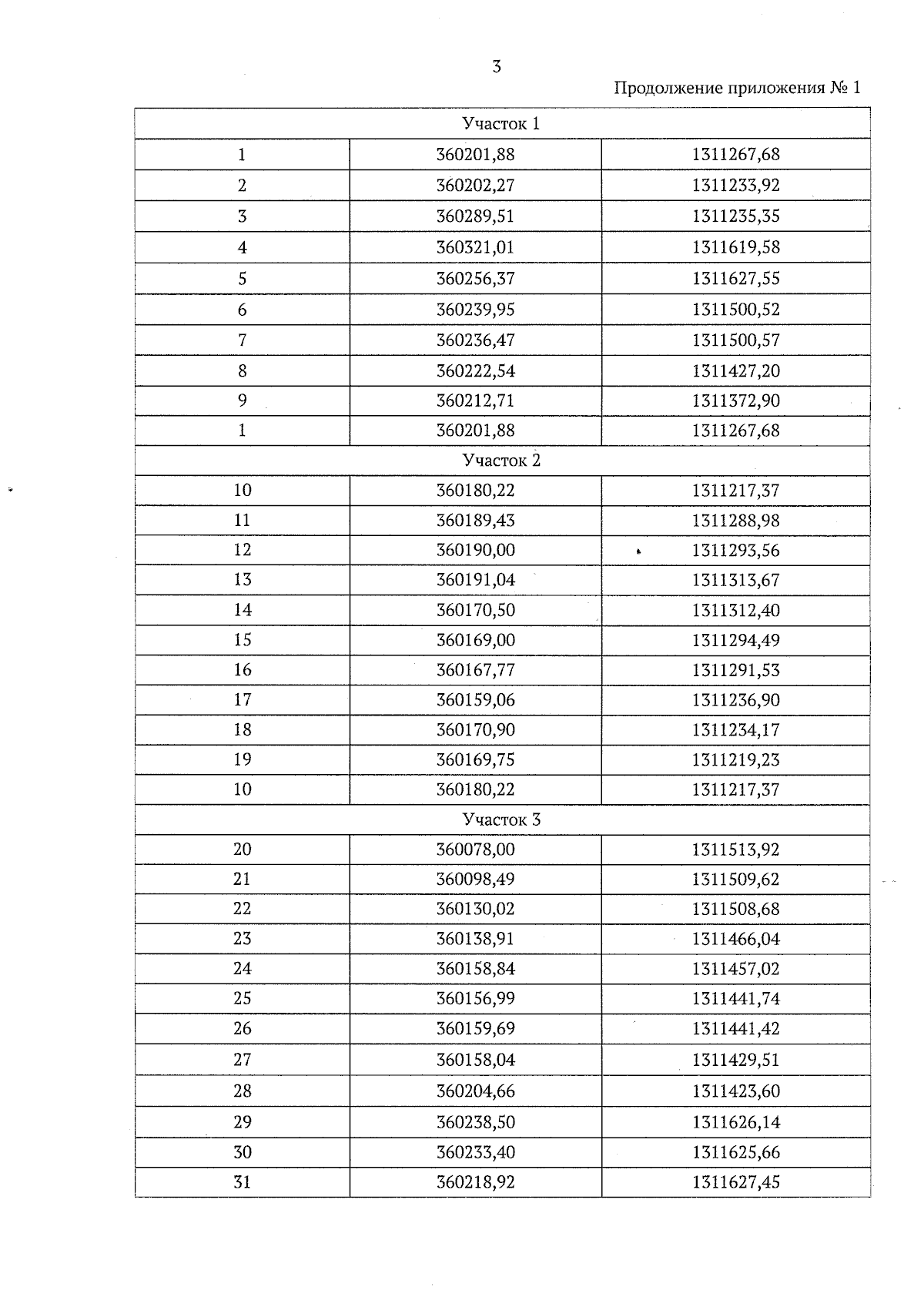
Приказ Департамента по государственной охране объектов культурного наследия Тамбовской области от 28.01.2025 № 40
"Об установлении зон охраны объекта культурного наследия регионального значения "Церковь Воскресения Христа Спасителя" (Тамбовская область, Уваровский муниципальный округ, с. Красное Знамя, ул. Краснознаменская, д. 6а) и утверждении требований к градостроительным регламентам в границах территорий данных зон"
(Зарегистрирован 28.01.2025 № 40)
Номер опубликования: 6801202501310005
Дата опубликования: 31.01.2025
Страница №5 из 14:
Увеличить