Официальное опубликование правовых актов
ОФИЦИАЛЬНОЕ ОПУБЛИКОВАНИЕ
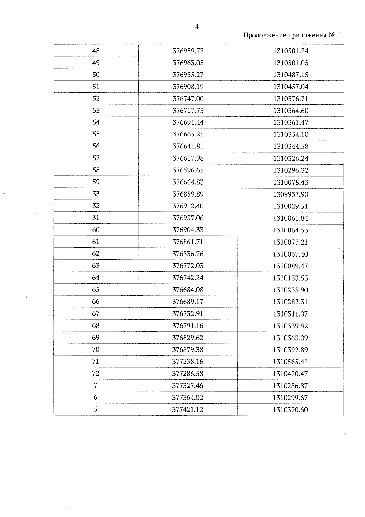
Приказ Департамента по государственной охране объектов культурного наследия Тамбовской области от 28.01.2025 № 39
"Об установлении зон охраны объекта культурного наследия федерального значения "Усадьба "Караул", в которой в 1872 г. родился и жил нарком иностранных дел Чичерин Георгий Васильевич" (Тамбовская область, Инжавинский муниципальный округ, с. Караул) и утверждении требований к градостроительным регламентам в границах территорий данных зон"
(Зарегистрирован 28.01.2025 № 39)
Номер опубликования: 6801202501310004
Дата опубликования: 31.01.2025
Страница №6 из 17:
Увеличить