Приказ Департамента по государственной охране объектов культурного наследия Тамбовской области от 23.12.2024 № 472
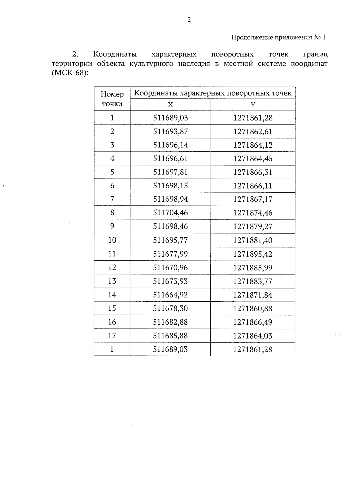
"Об утверждении границ и режима использования территории объекта культурного наследия регионального значения "Городская усадьба, ансамбль", расположенного по адресу: Тамбовская область, г. Моршанск, ул. Ленина, д. 71, д. 73"
(Зарегистрирован 23.12.2024 № 472)
"Об утверждении границ и режима использования территории объекта культурного наследия регионального значения "Городская усадьба, ансамбль", расположенного по адресу: Тамбовская область, г. Моршанск, ул. Ленина, д. 71, д. 73"
(Зарегистрирован 23.12.2024 № 472)
Номер опубликования: 6801202412250022
Дата опубликования:
25.12.2024
