Официальное опубликование правовых актов
ОФИЦИАЛЬНОЕ ОПУБЛИКОВАНИЕ
Приказ Министерства имущественных отношений и государственного заказа Тамбовской области от 20.11.2024 № 677
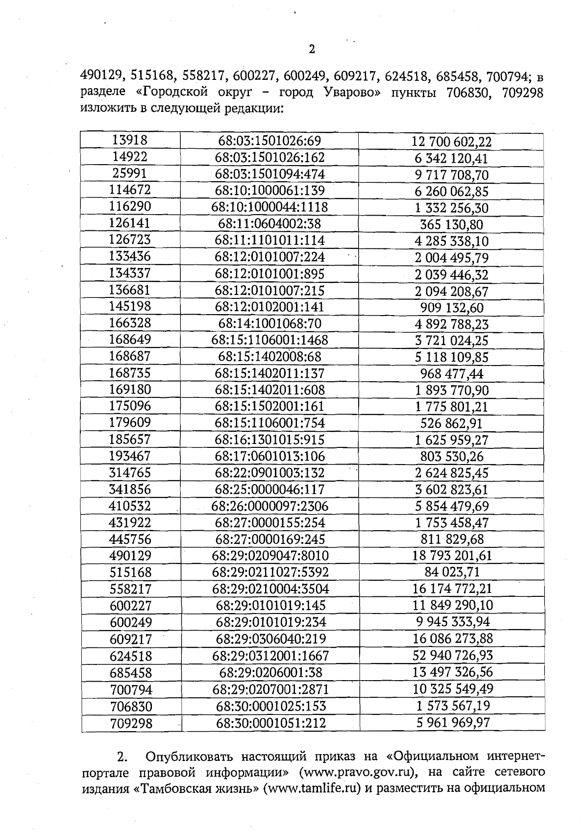
"О внесении изменений в приложение к приказу комитета по управлению имуществом Тамбовской области от 17.11.2020 № 667 "Об утверждении результатов определения кадастровой стоимости объектов недвижимости (за исключением земельных участков), расположенных на территории Тамбовской области"
(Зарегистрирован 20.11.2024 № 677)
Номер опубликования: 6801202411220005
Дата опубликования: 22.11.2024
Страница №2 из 3:
Увеличить