Официальное опубликование правовых актов
ОФИЦИАЛЬНОЕ ОПУБЛИКОВАНИЕ
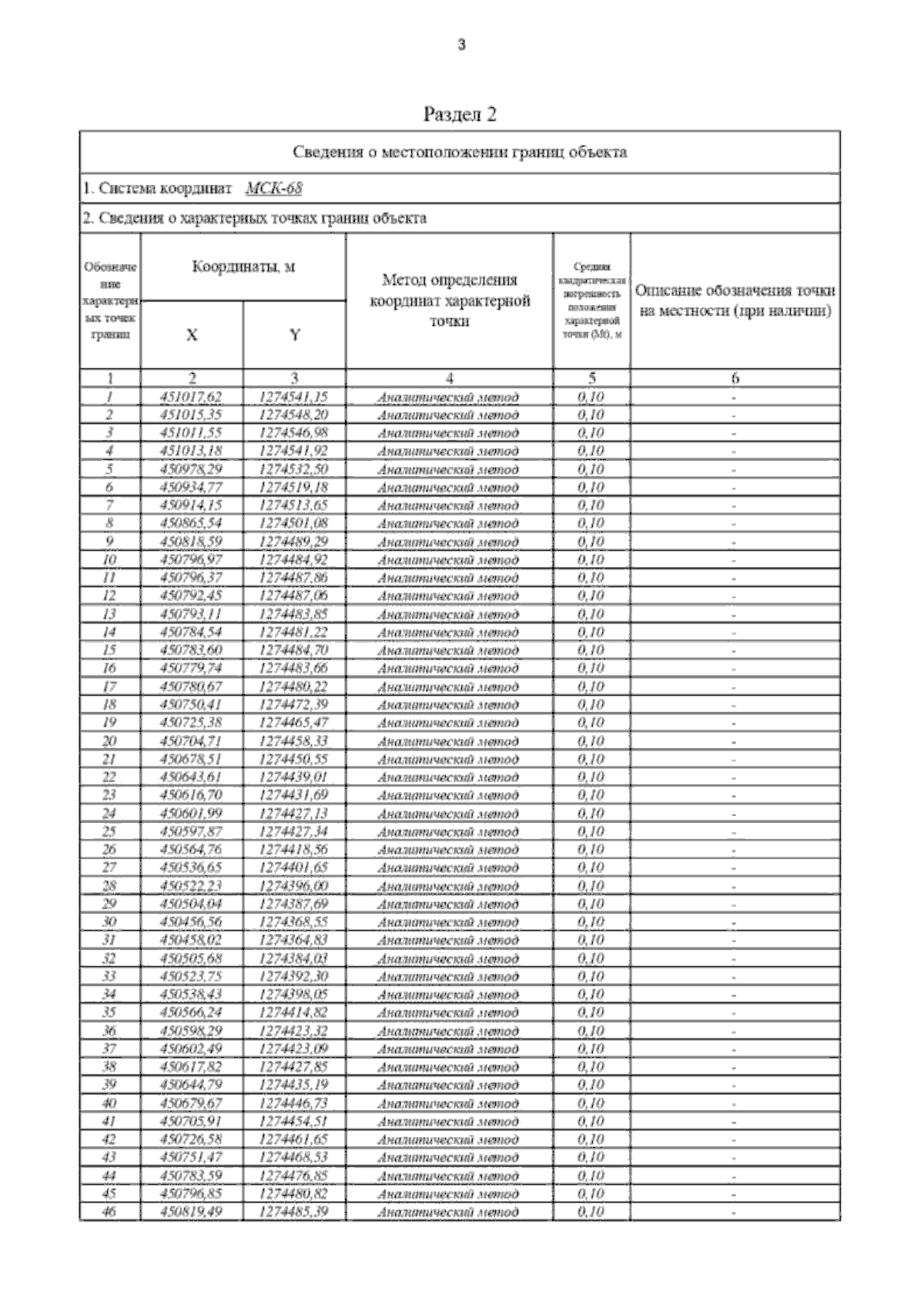
Приказ Министерства имущественных отношений и государственного заказа Тамбовской области от 29.10.2024 № 590
"Об установлении охранных зон газораспределительных сетей и наложении ограничений (обременений) на входящие в них земельные участки"
(Зарегистрирован 29.10.2024 № 590)
Номер опубликования: 6801202411060002
Дата опубликования: 06.11.2024
Страница №11 из 38:
Увеличить