Официальное опубликование правовых актов
ОФИЦИАЛЬНОЕ ОПУБЛИКОВАНИЕ
Приказ Департамента по государственной охране объектов культурного наследия Тамбовской области от 29.10.2024 № 381
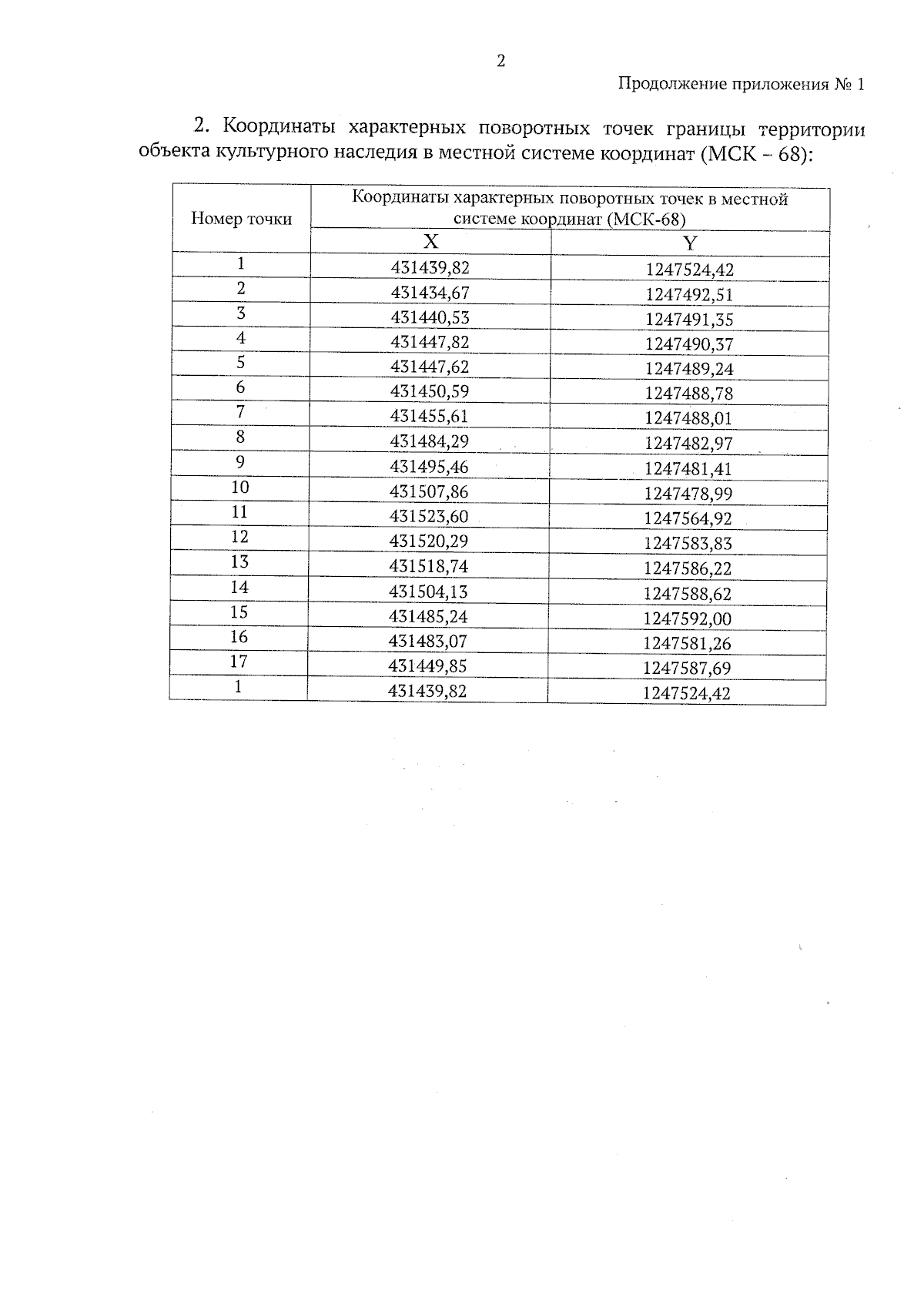
"О включении выявленного объекта культурного наследия "Красные казармы" (Тамбовская область, г. Тамбов, ул. Студенецкая, д. 9) в единый государственный реестр объектов культурного наследия (памятников истории и культуры) народов Российской Федерации в качестве объекта культурного наследия регионального значения, утверждении границ территории объекта культурного наследия и режима ее использования"
(Зарегистрирован 29.10.2024 № 381)
Номер опубликования: 6801202410310008
Дата опубликования: 31.10.2024
Страница №4 из 6:
Увеличить