Официальное опубликование правовых актов
ОФИЦИАЛЬНОЕ ОПУБЛИКОВАНИЕ
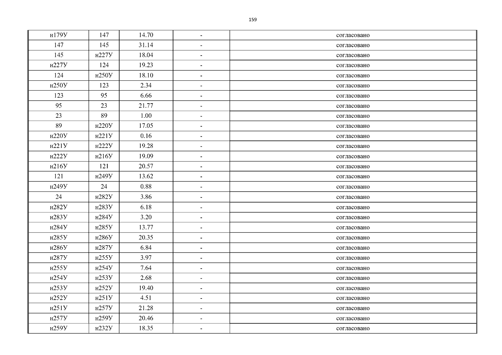
Приказ Министерства имущественных отношений и государственного заказа Тамбовской области от 18.10.2024 № 556
"Об утверждении карт-планов территорий кадастровых кварталов"
(Зарегистрирован 18.10.2024 № 556)
Номер опубликования: 6801202410250005
Дата опубликования: 25.10.2024
Страница №659 из 806:
Увеличить