Официальное опубликование правовых актов
ОФИЦИАЛЬНОЕ ОПУБЛИКОВАНИЕ
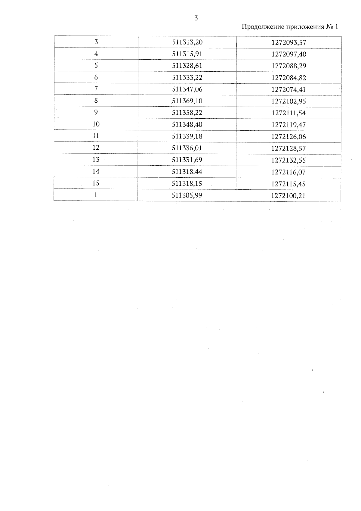
Приказ Департамента по государственной охране объектов культурного наследия Тамбовской области от 17.10.2024 № 372
"Об установлении зон охраны объекта культурного наследия регионального значения "Бывший жилой дом" (Тамбовская область, г. Моршанск, пл. Октябрьская, д. 32) и утверждении требований к градостроительным регламентам в границах территорий данных зон"
(Зарегистрирован 17.10.2024 № 372)
Номер опубликования: 6801202410220006
Дата опубликования: 22.10.2024
Страница №5 из 11:
Увеличить