Официальное опубликование правовых актов
ОФИЦИАЛЬНОЕ ОПУБЛИКОВАНИЕ
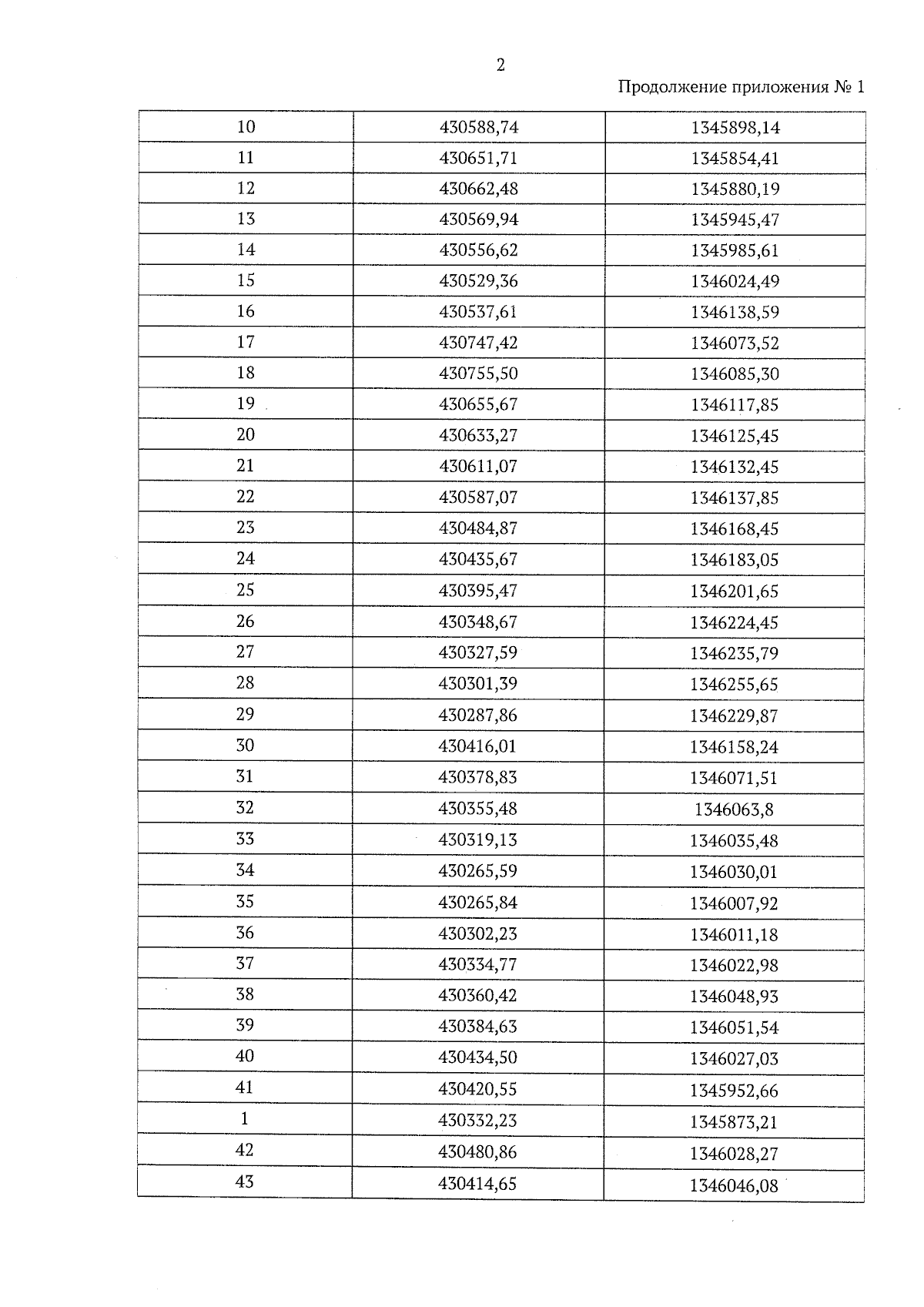
Приказ Департамента по государственной охране объектов культурного наследия Тамбовской области от 06.08.2024 № 276
"Об установлении зон охраны объекта культурного наследия регионального значения "Церковь Животворящей Троицы" (Тамбовская область, Уметский муниципальный округ, с. Оржевка, ул. Поповская, д. 3) и утверждении требований к градостроительным регламентам в границах территорий данных зон"
(Зарегистрирован 06.08.2024 № 276)
Номер опубликования: 6801202408090003
Дата опубликования: 09.08.2024
Страница №4 из 13:
Увеличить