Официальное опубликование правовых актов
ОФИЦИАЛЬНОЕ ОПУБЛИКОВАНИЕ
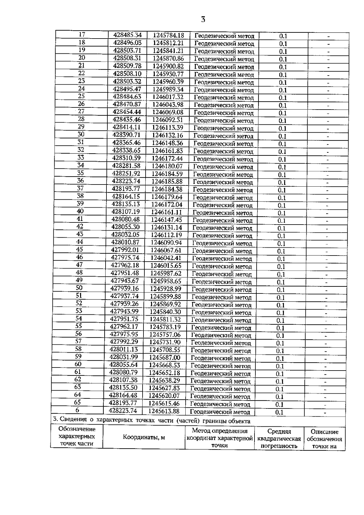
Приказ Министерства экологии и природных ресурсов Тамбовской области от 31.05.2024 № 225
"Об установлении границ и режима зон санитарной охраны действующего водозабора общества с ограниченной ответственностью "РКС-Тамбов"
(Зарегистрирован 31.05.2024 № 225)
Номер опубликования: 6801202406050010
Дата опубликования: 05.06.2024
Страница №9 из 20:
Увеличить