Официальное опубликование правовых актов
ОФИЦИАЛЬНОЕ ОПУБЛИКОВАНИЕ
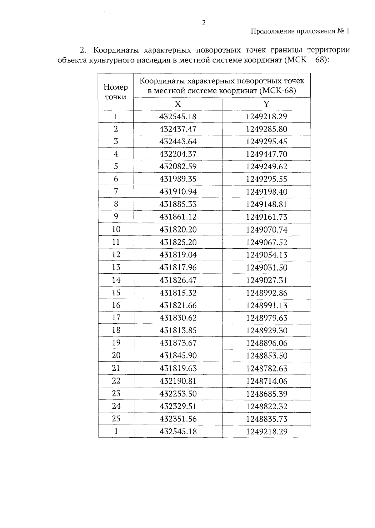
Приказ Департамента по государственной охране объектов культурного наследия Тамбовской области от 03.06.2024 № 214
"О включении выявленного объекта культурного наследия "Комплекс Тамбовской губернской больницы" (Тамбовская область, г. Тамбов, территория в границах улиц: Московской, Б. Васильева, Тулиновской, проезда Тулиновского, старицы р. Студенец) в единый государственный реестр объектов культурного наследия (памятников истории и культуры) народов Российской Федерации"
(Зарегистрирован 03.06.2024 № 214)
Номер опубликования: 6801202406050002
Дата опубликования: 05.06.2024
Страница №4 из 13:
Увеличить