Официальное опубликование правовых актов
ОФИЦИАЛЬНОЕ ОПУБЛИКОВАНИЕ
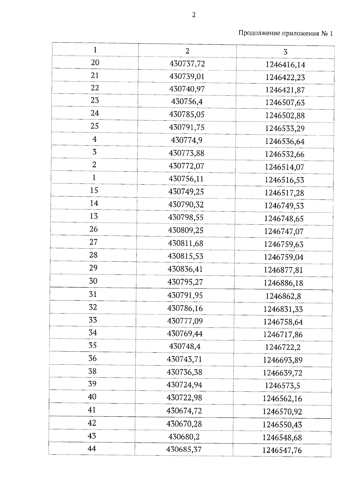
Приказ Департамента по государственной охране объектов культурного наследия Тамбовской области от 03.05.2024 № 184
"Об установлении зон охраны объекта культурного наследия регионального значения "Комплекс Тамбовской винной монополии" (Тамбовская область, г. Тамбов, ул. Коммунальная, 51) и утверждении требований к градостроительным регламентам в границах территорий данных зон"
(Зарегистрирован 03.05.2024 № 184)
Номер опубликования: 6801202405070003
Дата опубликования: 07.05.2024
Страница №4 из 20:
Увеличить