Официальное опубликование правовых актов
ОФИЦИАЛЬНОЕ ОПУБЛИКОВАНИЕ
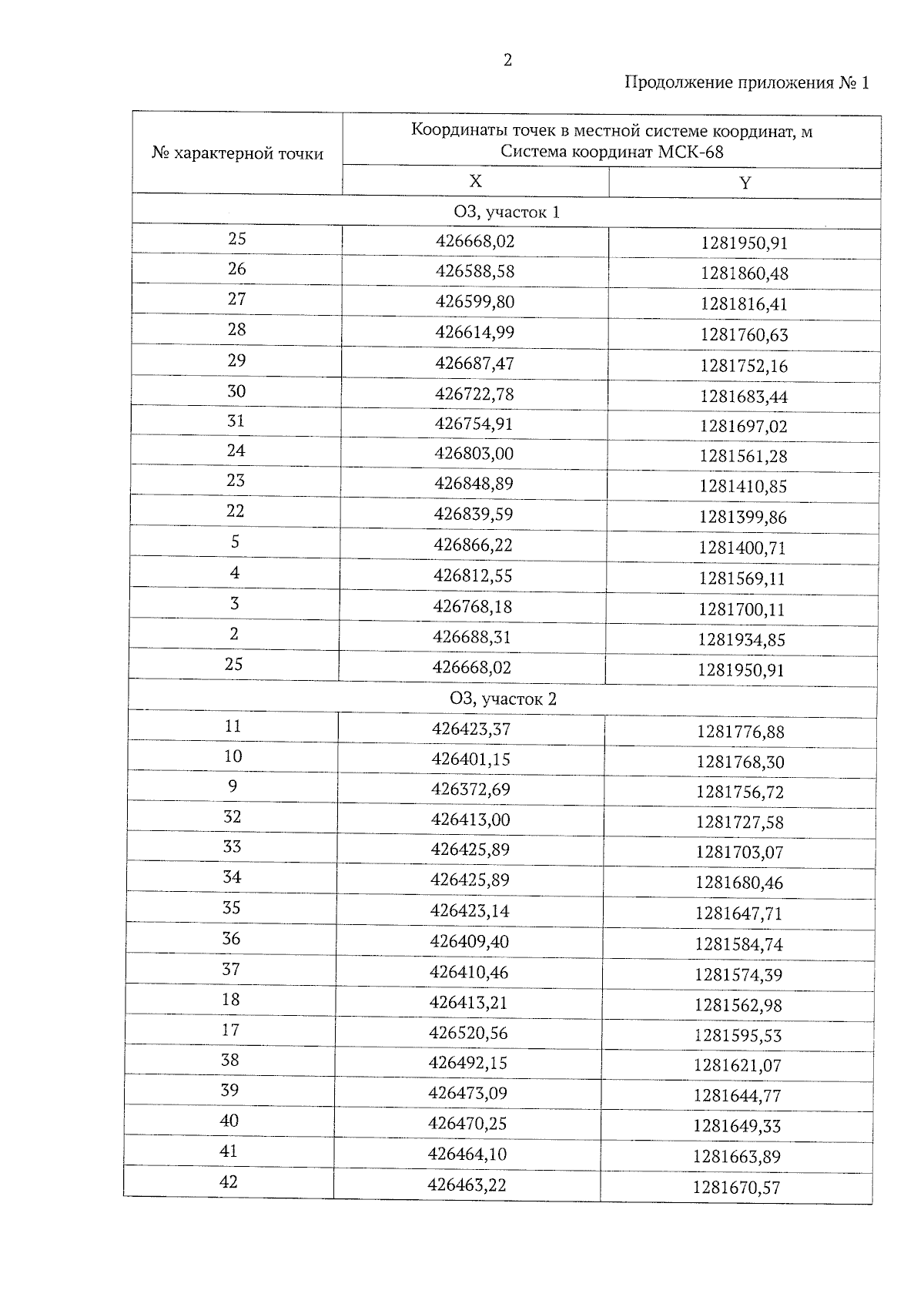
Приказ Департамента по государственной охране объектов культурного наследия Тамбовской области от 19.04.2024 № 156
"Об установлении зон охраны объекта культурного наследия регионального значения "Бывшая усадьба фабриканта Асеева" (Тамбовская область, г. Рассказово, ул. Совхозная, д. 1) и утверждении требований к градостроительным регламентам в границах территорий данных зон"
(Зарегистрирован 19.04.2024 № 156)
Номер опубликования: 6801202404240004
Дата опубликования: 24.04.2024
Страница №4 из 16:
Увеличить