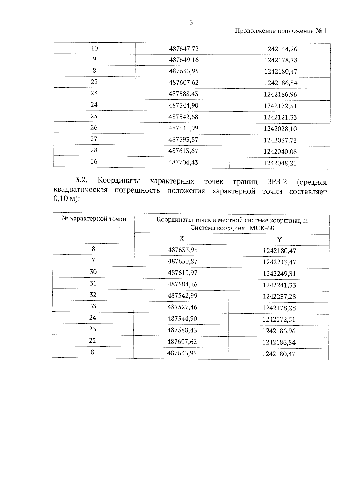
Приказ Департамента по государственной охране объектов культурного наследия Тамбовской области от 19.04.2024 № 160
"Об установлении зон охраны объекта культурного наследия регионального значения "Крестовоздвиженская церковь" (Тамбовская область, Сосновский муниципальный округ, р.п. Сосновка, ул. Вокзальная, д. 2) и утверждении требований к градостроительным регламентам в границах территорий данных зон"
(Зарегистрирован 19.04.2024 № 160)
"Об установлении зон охраны объекта культурного наследия регионального значения "Крестовоздвиженская церковь" (Тамбовская область, Сосновский муниципальный округ, р.п. Сосновка, ул. Вокзальная, д. 2) и утверждении требований к градостроительным регламентам в границах территорий данных зон"
(Зарегистрирован 19.04.2024 № 160)
Номер опубликования: 6801202404240003
Дата опубликования:
24.04.2024
