Официальное опубликование правовых актов
ОФИЦИАЛЬНОЕ ОПУБЛИКОВАНИЕ
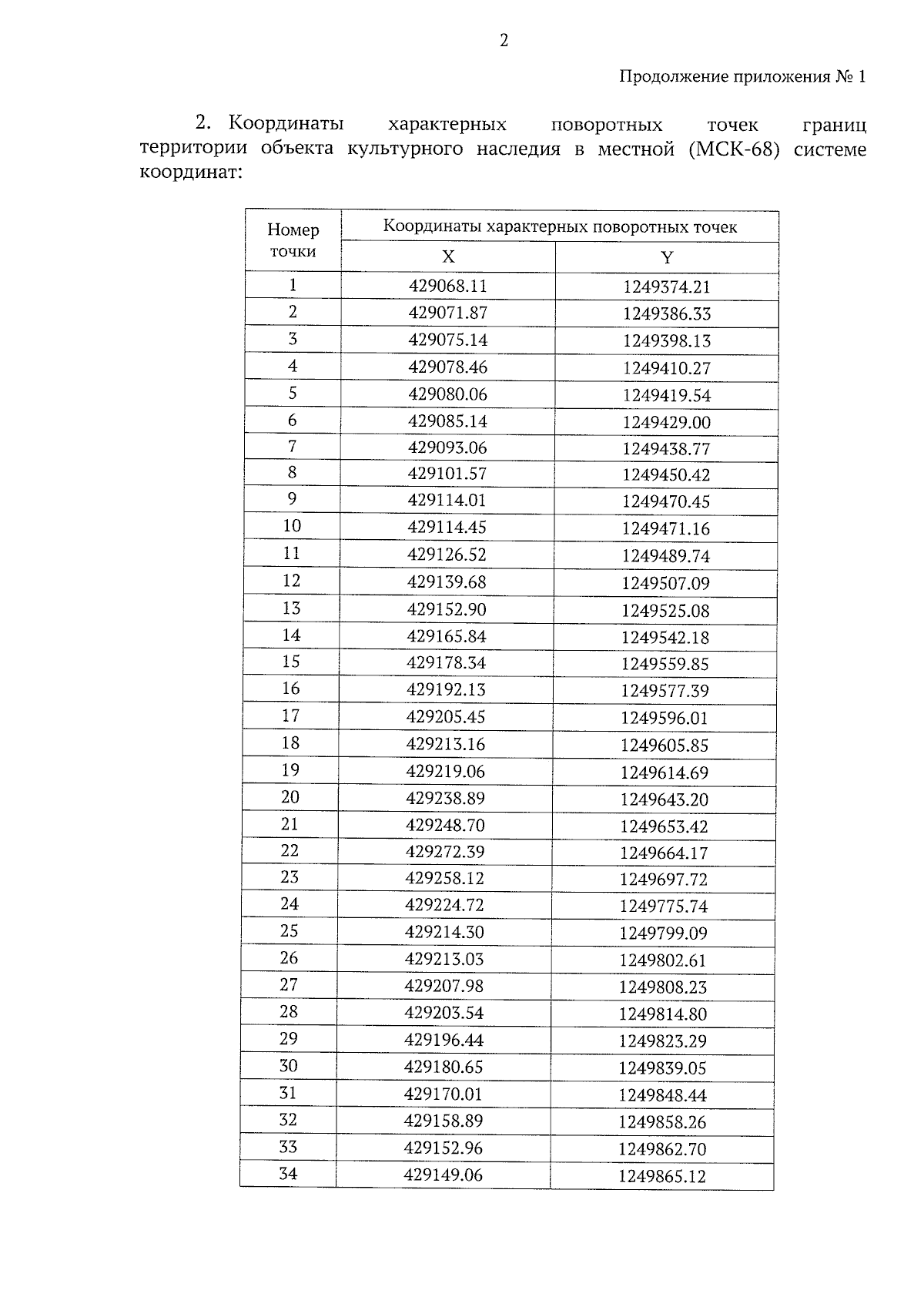
Приказ Департамента по государственной охране объектов культурного наследия Тамбовской области от 08.04.2024 № 135
"Об утверждении границ территории и режима использования территории объекта культурного наследия федерального значения «Усадьба Асеева», расположенного по адресу: Тамбовская область, г. Тамбов, ул. Набережная/ул. Гоголя, д. 22/1"
(Зарегистрирован 08.04.2024 № 135)
Номер опубликования: 6801202404120007
Дата опубликования: 12.04.2024
Страница №3 из 5:
Увеличить