Официальное опубликование правовых актов
ОФИЦИАЛЬНОЕ ОПУБЛИКОВАНИЕ
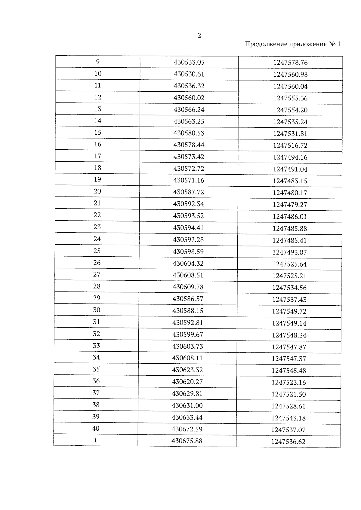
Приказ Департамента по государственной охране объектов культурного наследия Тамбовской области от 08.04.2024 № 136
"Об установлении зон охраны объекта культурного наследия регионального значения "Дом жилой" (Тамбовская область, г. Тамбов, ул. Базарная, 104) и утверждении требований к градостроительным регламентам в границах территорий данных зон"
(Зарегистрирован 08.04.2024 № 136)
Номер опубликования: 6801202404120006
Дата опубликования: 12.04.2024
Страница №4 из 14:
Увеличить