Официальное опубликование правовых актов
ОФИЦИАЛЬНОЕ ОПУБЛИКОВАНИЕ
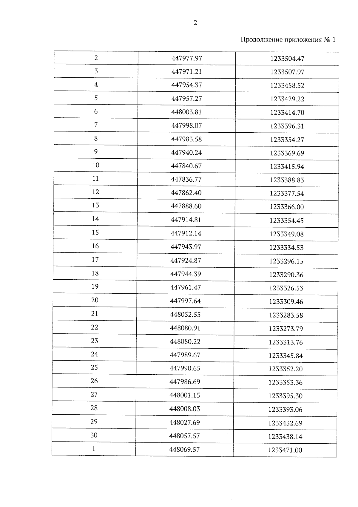
Приказ Департамента по государственной охране объектов культурного наследия Тамбовской области от 02.04.2024 № 126
"Об установлении зон охраны объекта культурного наследия регионального значения "Козьмодемьяновская церковь" (Тамбовская область, Тамбовский муниципальный округ, с. Козьмодемьяновка, ул. Советская, д. 97) и утверждении требований к градостроительным регламентам в границах территорий данных зон"
(Зарегистрирован 02.04.2024 № 126)
Номер опубликования: 6801202404050010
Дата опубликования: 05.04.2024
Страница №4 из 11:
Увеличить