Официальное опубликование правовых актов
ОФИЦИАЛЬНОЕ ОПУБЛИКОВАНИЕ
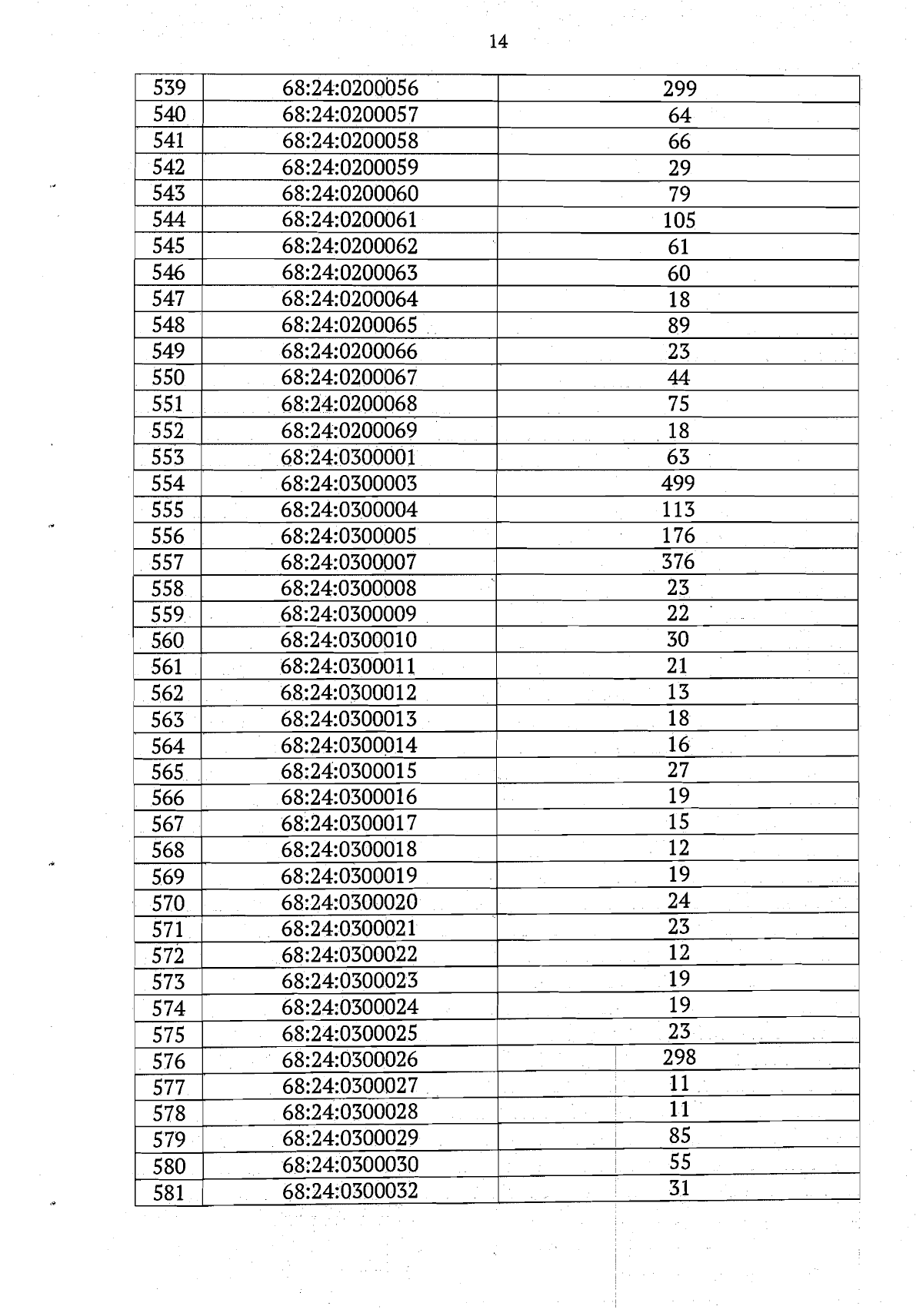
Приказ Министерства имущественных отношений и государственного заказа Тамбовской области от 22.03.2024 № 167
"Об утверждении перечня кадастровых кварталов, в границах которых планируется проведение комплексных кадастровых работ на территории Тамбовской области в 2025 году"
(Зарегистрирован 22.03.2024 № 167)
Номер опубликования: 6801202403260004
Дата опубликования: 26.03.2024
Страница №15 из 17:
Увеличить