Официальное опубликование правовых актов
ОФИЦИАЛЬНОЕ ОПУБЛИКОВАНИЕ
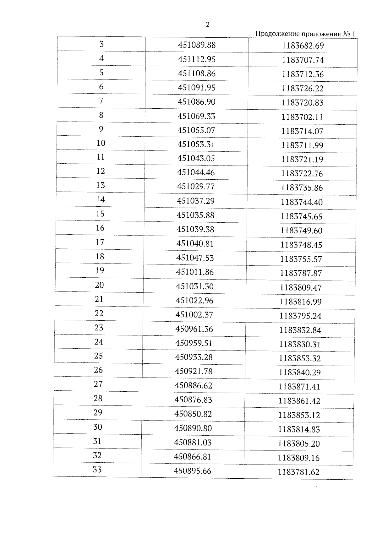
Приказ Департамента по государственной охране объектов культурного наследия Тамбовской области от 14.03.2024 № 100
"Об установлении зон охраны объекта культурного наследия регионального значения "Вокзал железнодорожный" (Тамбовская область, г. Мичуринск, пл. Привокзальная, д. 1) и утверждении требований к градостроительным регламентам в границах территорий данных зон"
(Зарегистрирован 14.03.2024 № 100)
Номер опубликования: 6801202403200004
Дата опубликования: 20.03.2024
Страница №4 из 16:
Увеличить