Официальное опубликование правовых актов
ОФИЦИАЛЬНОЕ ОПУБЛИКОВАНИЕ
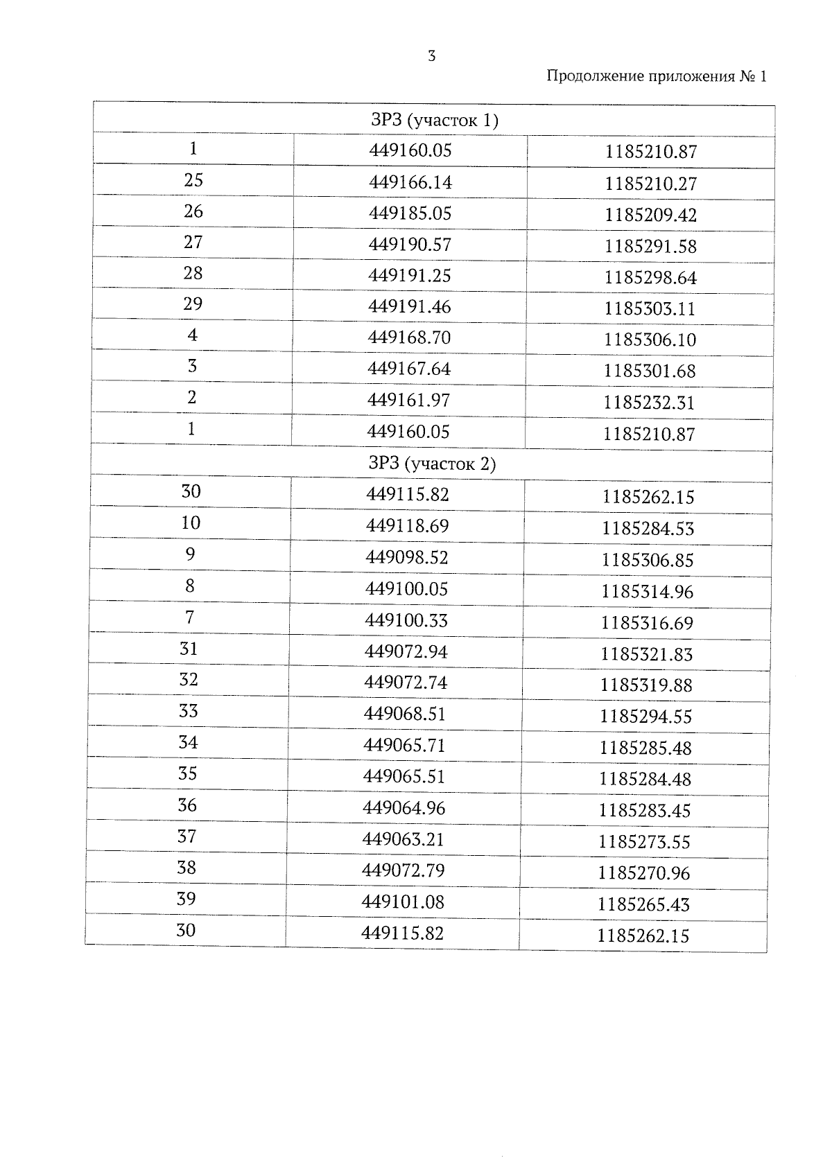
Приказ Департамента по государственной охране объектов культурного наследия Тамбовской области от 14.03.2024 № 103
"Об установлении зон охраны объекта культурного наследия регионального значения "Дом полицмейстера" (Тамбовская область, г. Мичуринск, ул. Тамбовская, д. 224) и утверждении требований к градостроительным регламентам в границах территорий данных зон"
(Зарегистрирован 14.03.2024 № 103)
Номер опубликования: 6801202403200001
Дата опубликования: 20.03.2024
Страница №5 из 12:
Увеличить