Официальное опубликование правовых актов
ОФИЦИАЛЬНОЕ ОПУБЛИКОВАНИЕ
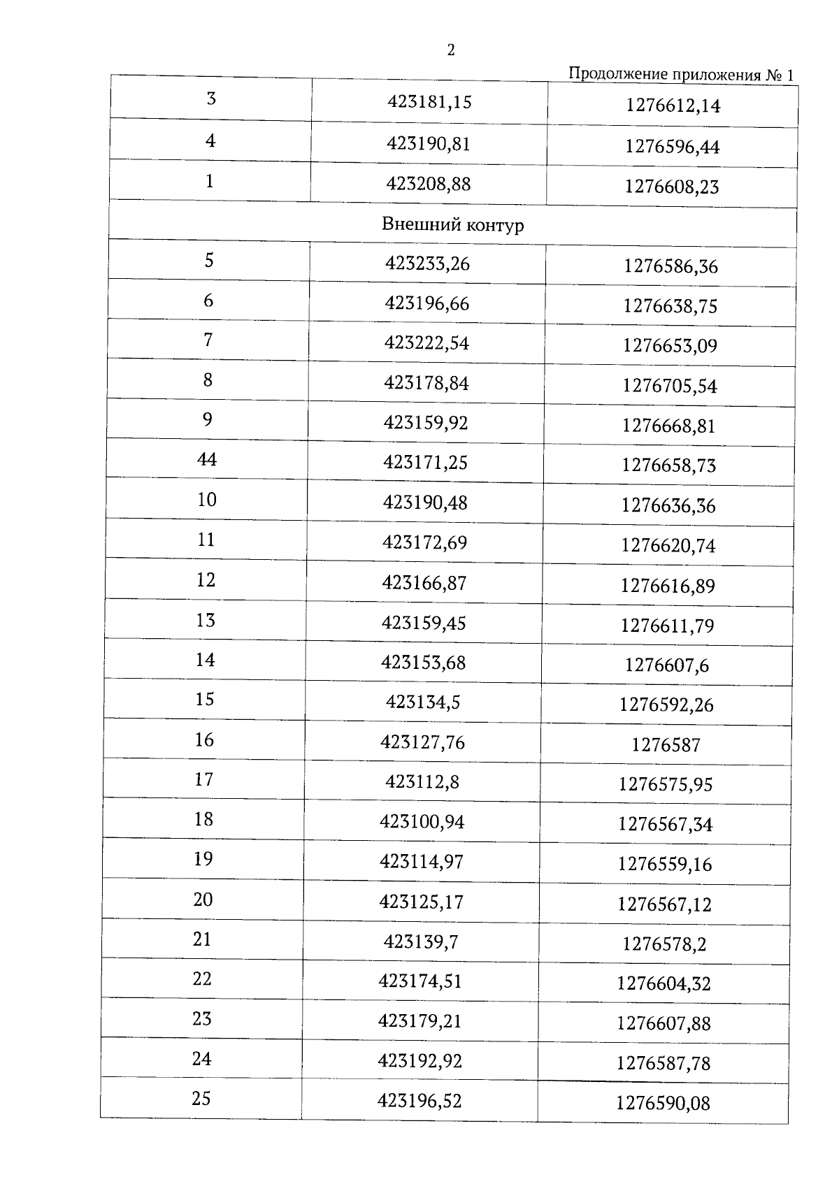
Приказ Департамента по государственной охране объектов культурного наследия Тамбовской области от 11.03.2024 № 87
"Об установлении зон охраны объекта культурного наследия регионального значения "Гражданское здание" (Тамбовская область, г. Рассказово, ул. Гагарина, д. 12) и утверждении требований к градостроительным регламентам в границах территорий данных зон"
(Зарегистрирован 11.03.2024 № 87)
Номер опубликования: 6801202403180009
Дата опубликования: 18.03.2024
Страница №4 из 13:
Увеличить