Официальное опубликование правовых актов
ОФИЦИАЛЬНОЕ ОПУБЛИКОВАНИЕ
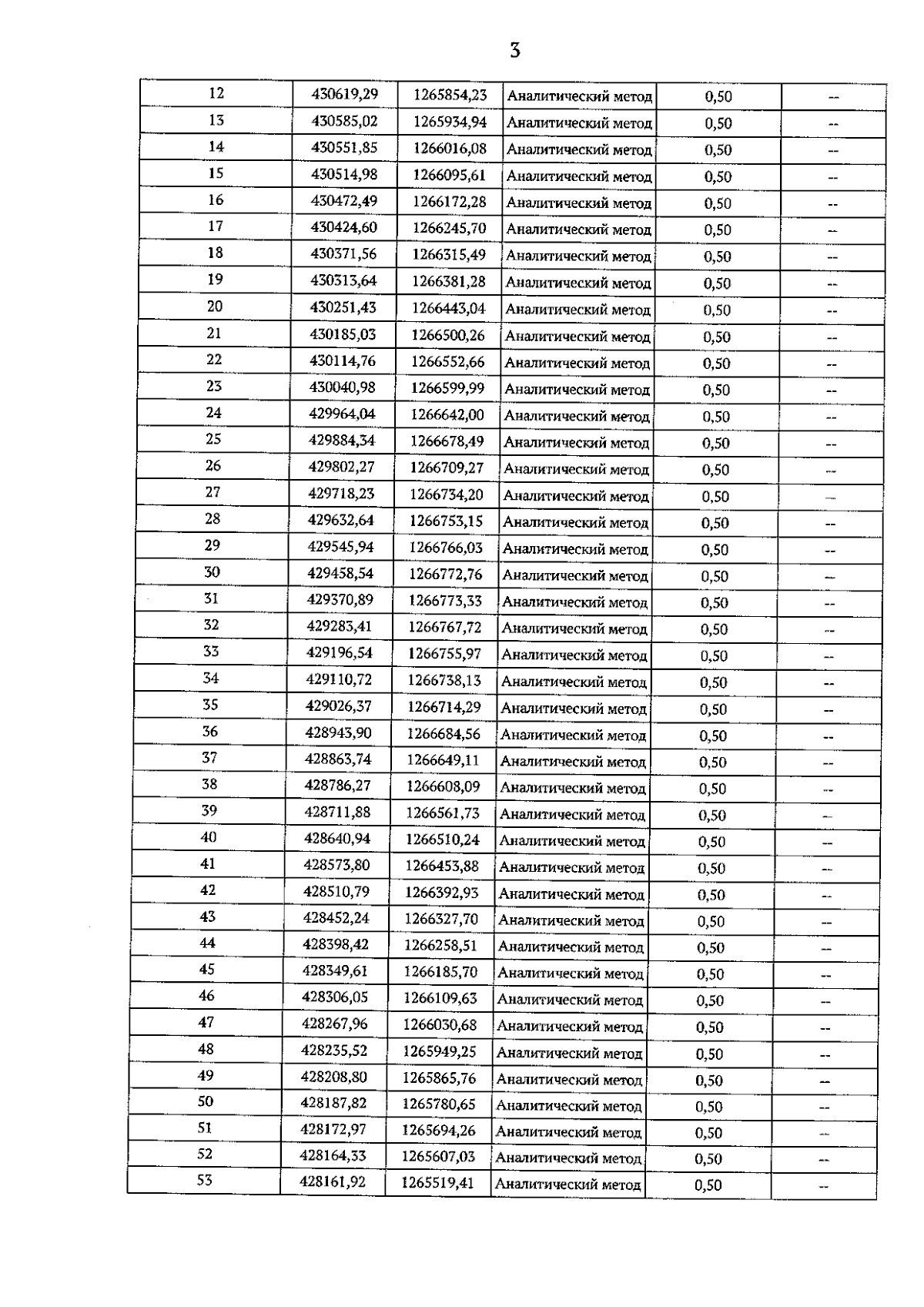
Приказ Министерства экологии и природных ресурсов Тамбовской области от 30.01.2024 № 22
"Об установлении границ и режима зон санитарной охраны действующего водозабора А0 "Амбер Талвис"
(Зарегистрирован 30.01.2024 № 22)
Номер опубликования: 6801202402020012
Дата опубликования: 02.02.2024
Страница №17 из 23:
Увеличить