Официальное опубликование правовых актов
ОФИЦИАЛЬНОЕ ОПУБЛИКОВАНИЕ
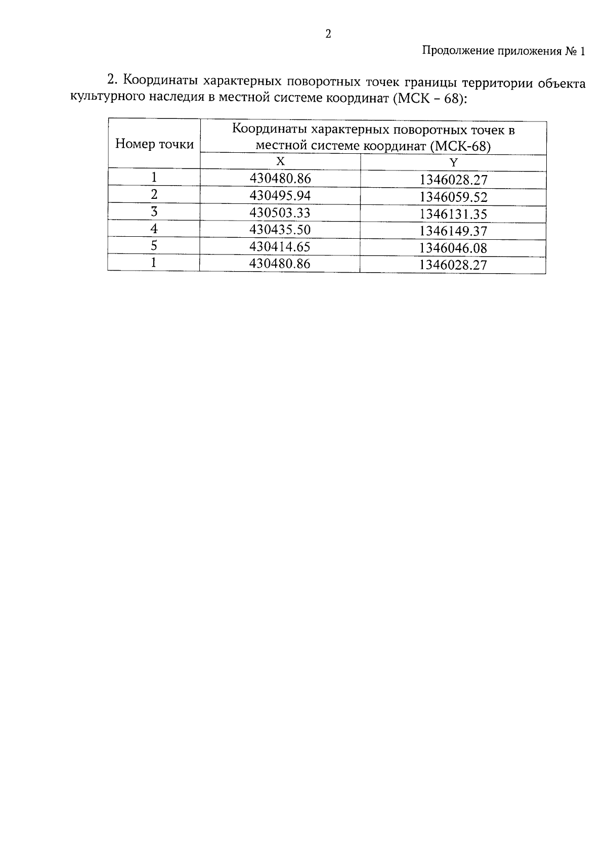
Приказ Департамента по государственной охране объектов культурного наследия Тамбовской области от 17.10.2023 № 303
"Об утверждении границ территории и режима использования территории объекта культурного наследия регионального значения "Церковь Животворящей Троицы" (Тамбовская область, Уметский район, с. Оржевка, ул. Поповская, д. 3)"
(Зарегистрирован 17.10.2023 № 303)
Номер опубликования: 6801202310230006
Дата опубликования: 23.10.2023
Страница №3 из 4:
Увеличить