Официальное опубликование правовых актов
ОФИЦИАЛЬНОЕ ОПУБЛИКОВАНИЕ
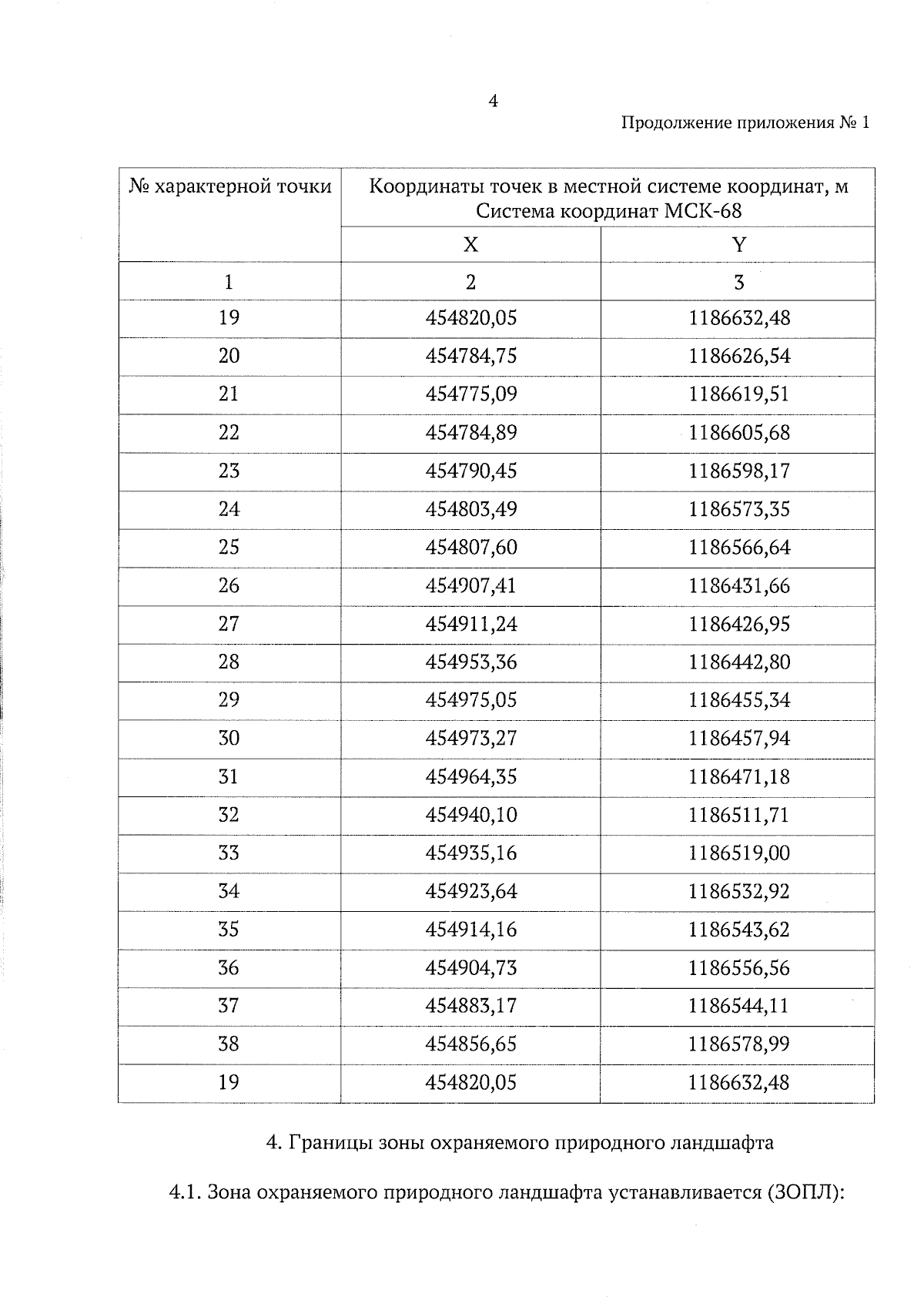
Приказ Департамента по государственной охране объектов культурного наследия Тамбовской области от 16.10.2023 № 289
"Об установлении зон охраны объекта культурного наследия регионального значения "Главный дом усадьбы В.Н.Снежкова" (Тамбовская область, Мичуринский район, п. Мичурина, ул. Горького, д. 5-а) и утверждении требований к градостроительным регламентам в границах территорий данных зон"
(Зарегистрирован 16.10.2023 № 289)
Номер опубликования: 6801202310200006
Дата опубликования: 20.10.2023
Страница №6 из 16:
Увеличить