Официальное опубликование правовых актов
ОФИЦИАЛЬНОЕ ОПУБЛИКОВАНИЕ
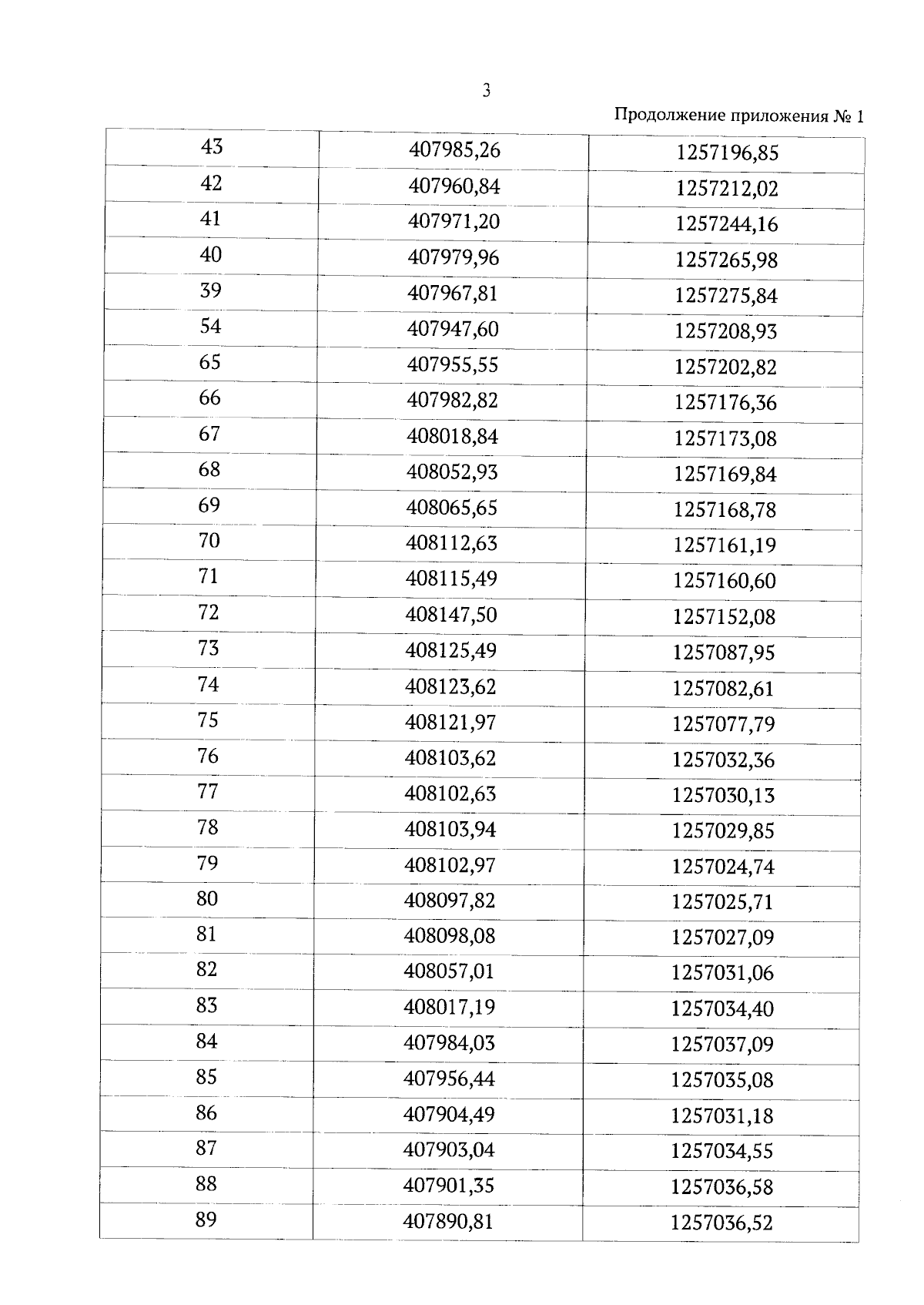
Приказ Департамента по государственной охране объектов культурного наследия Тамбовской области от 12.09.2023 № 259
"Об установлении зон охраны объекта культурного наследия регионального значения "Сухотинский Знаменский женский монастырь" (Тамбовская область, Знаменский район, с. Сухотинка, ул. Суренка, д. 88) и утверждении требований к градостроительным регламентам в границах территорий данных зон"
(Зарегистрирован 12.09.2023 № 259)
Номер опубликования: 6801202309150003
Дата опубликования: 15.09.2023
Страница №5 из 20:
Увеличить