Официальное опубликование правовых актов
ОФИЦИАЛЬНОЕ ОПУБЛИКОВАНИЕ
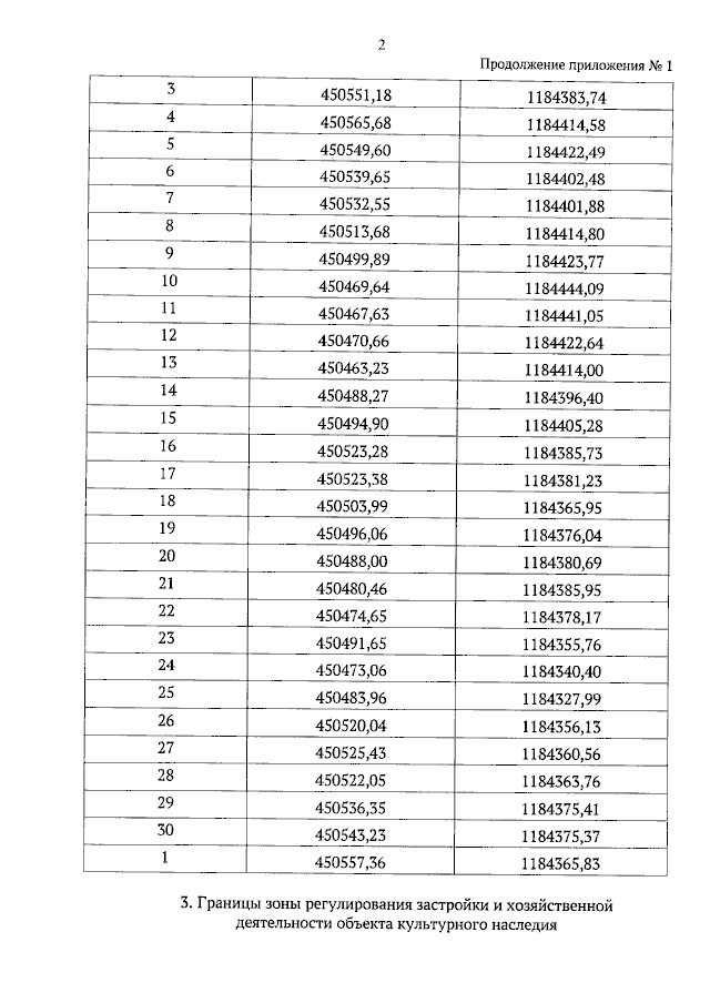
Приказ Управления по государственной охране объектов культурного наследия Тамбовской области от 06.06.2023 № 147
"Об установлении зон охраны объекта культурного наследия регионального значения "Дом жилой" (Тамбовская область, г. Мичуринск, ул. Советская, д. 266) и утверждении требований к градостроительным регламентам в границах территорий данных зон"
(Зарегистрирован 06.06.2023 № 147)
Номер опубликования: 6801202306090002
Дата опубликования: 09.06.2023
Страница №4 из 12:
Увеличить