Официальное опубликование правовых актов
ОФИЦИАЛЬНОЕ ОПУБЛИКОВАНИЕ
Приказ Министерства экологии и природных ресурсов Тамбовской области от 31.05.2023 № 244
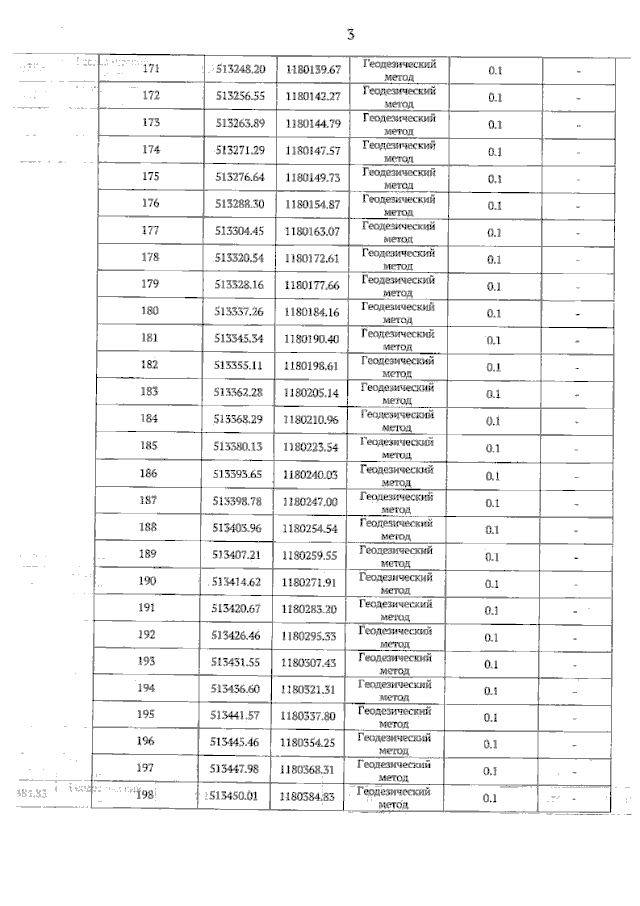
"Об установлении границ и режима зон санитарной охраны водозаборной скважины № 5764 администрации Спасского сельсовета Староюрьевского района Тамбовской области"
(Зарегистрирован 31.05.2023 № 244)
Номер опубликования: 6801202305310008
Дата опубликования: 31.05.2023
Страница №20 из 28:
Увеличить