Официальное опубликование правовых актов
ОФИЦИАЛЬНОЕ ОПУБЛИКОВАНИЕ
Приказ Министерства экологии и природных ресурсов Тамбовской области от 31.05.2023 № 243
"Об установлении границ и режима зон санитарной охраны водозаборной скважины № 4585 администрации Спасского сельсовета Староюрьевского района Тамбовской области"
(Зарегистрирован 31.05.2023 № 243)
Номер опубликования: 6801202305310007
Дата опубликования: 31.05.2023
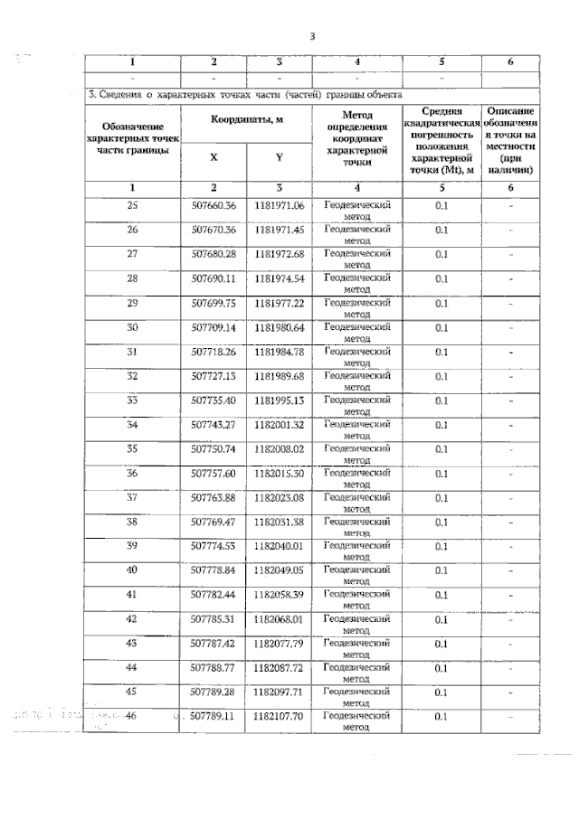
Страница №11 из 32:
Увеличить