Официальное опубликование правовых актов
ОФИЦИАЛЬНОЕ ОПУБЛИКОВАНИЕ
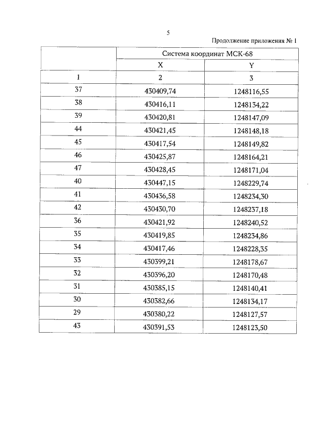
Приказ Управления по государственной охране объектов культурного наследия Тамбовской области от 04.04.2023 № 76
"Об установлении зон охраны объекта культурного наследия регионального значения "Дом предводителя Тамбовского дворянства А.И. Сатина" (Тамбовская область, г. Тамбов, ул. Комсомольская, д. 41) и утверждении требований к градостроительным регламентам в границах территорий данных зон"
(Зарегистрирован 04.04.2023 № 76)
Номер опубликования: 6801202304060004
Дата опубликования: 06.04.2023
Страница №7 из 14:
Увеличить