Официальное опубликование правовых актов
ОФИЦИАЛЬНОЕ ОПУБЛИКОВАНИЕ
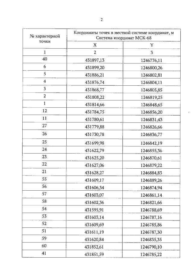
Приказ Управления по государственной охране объектов культурного наследия Тамбовской области от 27.02.2023 № 42
"Об установлении зон охраны объекта культурного наследия регионального значения "Государственная конюшня" (Тамбовская область, г.Тамбов, ул. Пролетарская, 196) и утверждении требований к градостроительным регламентам в границах территорий данных зон"
(Зарегистрирован 27.02.2023 № 42)
Номер опубликования: 6801202302280005
Дата опубликования: 28.02.2023
Страница №4 из 15:
Увеличить