Официальное опубликование правовых актов
ОФИЦИАЛЬНОЕ ОПУБЛИКОВАНИЕ
Приказ Управления по государственной охране объектов культурного наследия Тамбовской области от 27.02.2023 № 47
"Об установлении зон охраны объекта культурного наследия регионального значения "Дом жилой" (Тамбовская область, г.Тамбов, ул.Базарная/ ул. Куйбышева, 136/76) и утверждении требований к градостроительным регламентам в границах территорий данных зон"
(Зарегистрирован 27.02.2023 № 47)
Номер опубликования: 6801202302280002
Дата опубликования: 28.02.2023
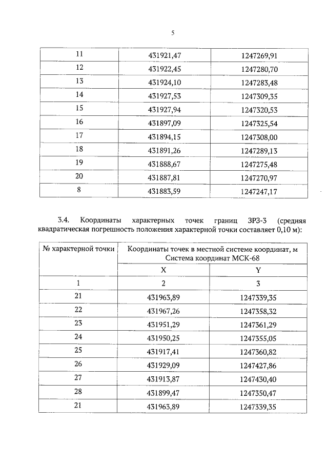
Страница №7 из 13:
Увеличить