Приказ Управления по государственной охране объектов культурного наследия Тамбовской области от 23.01.2023 № 14
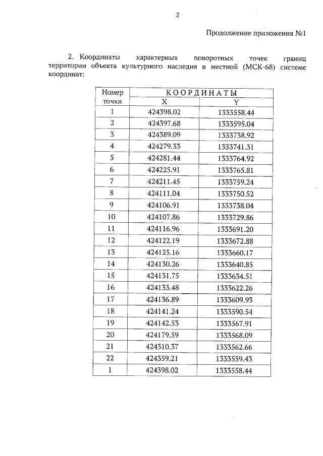
"Об утверждении границ и режима использования территории объекта культурного наследия регионального значения "Козьмодемьяновская церковь" (Тамбовская область, г. Кирсанов, ул. Пушкинская, д. 56-а)"
(Зарегистрирован 23.01.2023 № 14)
"Об утверждении границ и режима использования территории объекта культурного наследия регионального значения "Козьмодемьяновская церковь" (Тамбовская область, г. Кирсанов, ул. Пушкинская, д. 56-а)"
(Зарегистрирован 23.01.2023 № 14)
Номер опубликования: 6801202301240003
Дата опубликования:
24.01.2023
