Официальное опубликование правовых актов
ОФИЦИАЛЬНОЕ ОПУБЛИКОВАНИЕ
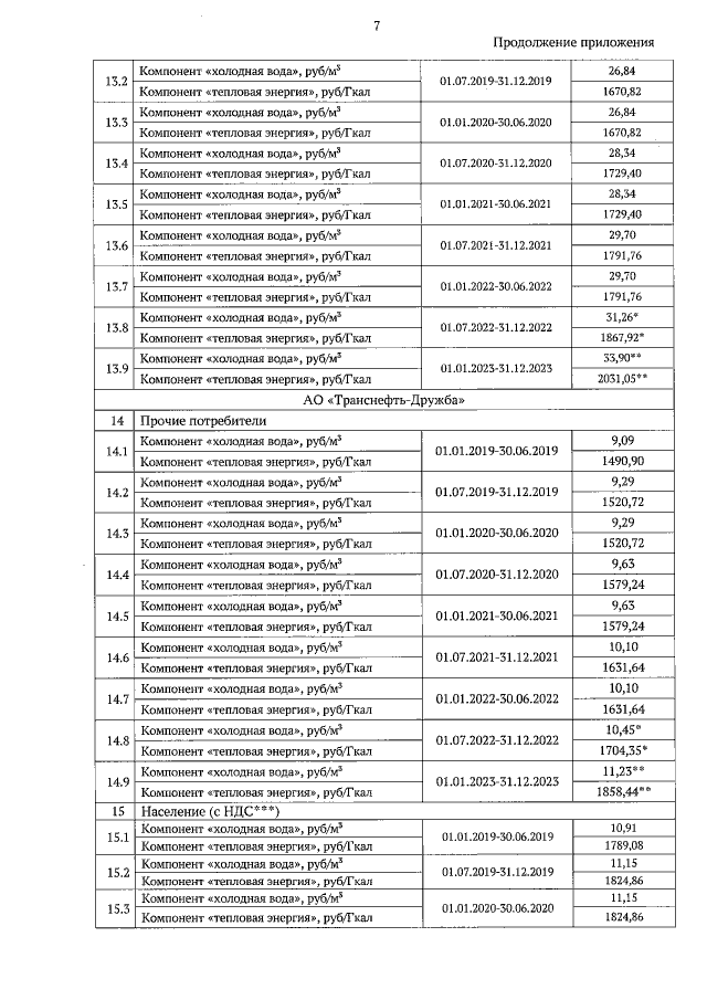
Приказ Управления по регулированию тарифов Тамбовской области от 16.11.2022 № 142-т
"О внесении изменения в приказ управления по регулированию тарифов Тамбовской области от 18.12.2018 № 171-т "Об установлении тарифов на горячую воду на 2019-2023 гг."
Номер опубликования: 6801202211180041
Дата опубликования: 18.11.2022
Страница №8 из 11:
Увеличить