Официальное опубликование правовых актов
ОФИЦИАЛЬНОЕ ОПУБЛИКОВАНИЕ
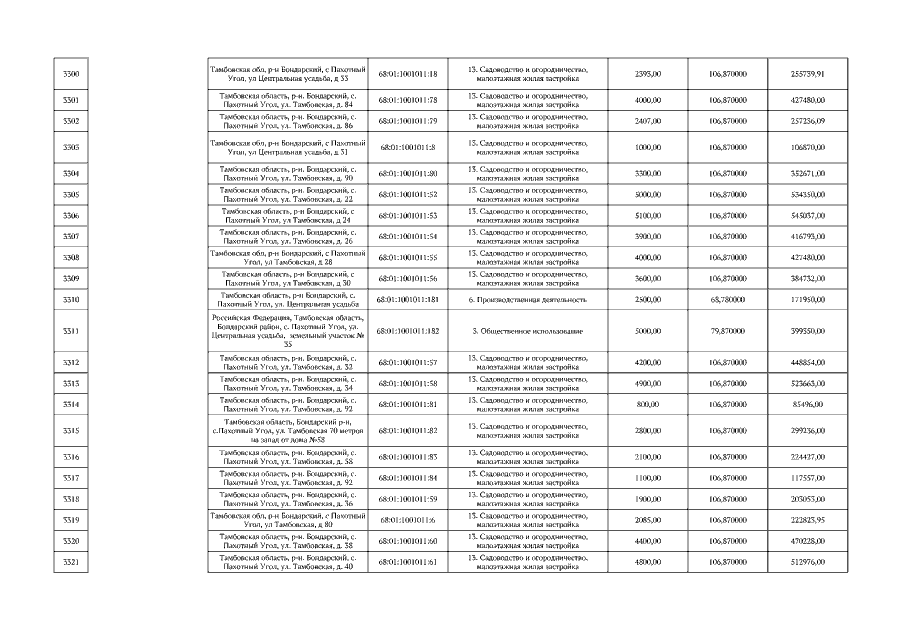
Приказ Комитета по управлению имуществом Тамбовской области от 25.10.2022 № 620
"Об утверждении результатов определения кадастровой стоимости земельных участков, расположенных на территории Тамбовской области"
Номер опубликования: 6801202211110001
Дата опубликования: 11.11.2022
Страница №157 из 31502:
Увеличить