Официальное опубликование правовых актов
ОФИЦИАЛЬНОЕ ОПУБЛИКОВАНИЕ
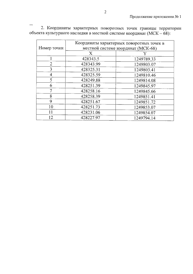
Приказ Управления по государственной охране объектов культурного наследия Тамбовской области от 09.08.2022 № 200
"О включении выявленного объекта культурного наследия "Епархиальный свечной завод" (Тамбовская область, г. Тамбов, ул. Андреевская, 33Д) в единый государственный реестр объектов культурного наследия (памятников истории и культуры) народов Российской Федерации в качестве объекта культурного наследия регионального значения"
Номер опубликования: 6801202208090001
Дата опубликования: 09.08.2022
Страница №4 из 5:
Увеличить