Официальное опубликование правовых актов
ОФИЦИАЛЬНОЕ ОПУБЛИКОВАНИЕ
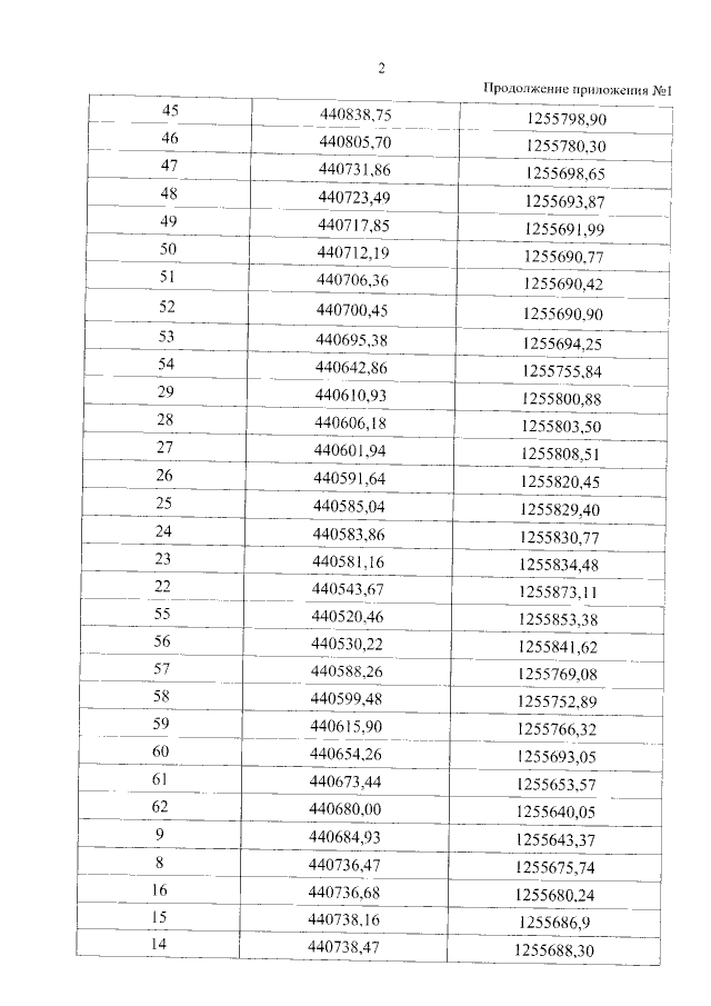
Приказ Управления по государственной охране объектов культурного наследия Тамбовской области от 02.08.2022 № 190
"Об установлении зон охраны объекта культурного наследия регионального значения "Софийский женский монастырь. Комплекс" (Тамбовская область, Тамбовский район, с. Тулиновка) и утверждении требований к градостроительным регламентам в границах территорий данных зон"
Номер опубликования: 6801202208020006
Дата опубликования: 02.08.2022
Страница №4 из 17:
Увеличить