Официальное опубликование правовых актов
ОФИЦИАЛЬНОЕ ОПУБЛИКОВАНИЕ
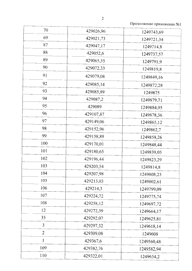
Приказ Управления по государственной охране объектов культурного наследия Тамбовской области от 02.08.2022 № 188
"Об установлении зон охраны объекта культурного наследия федерального значения "Усадьба Асеева" (Тамбовская область, г. Тамбов, ул. Набережная/ул. Гоголя, д. 22/1) и утверждении требований к градостроительным регламентам в границах территорий данных зон"
Номер опубликования: 6801202208020004
Дата опубликования: 02.08.2022
Страница №4 из 19:
Увеличить