Официальное опубликование правовых актов
ОФИЦИАЛЬНОЕ ОПУБЛИКОВАНИЕ
Приказ Управления по государственной охране объектов культурного наследия Тамбовской области от 06.05.2022 № 108
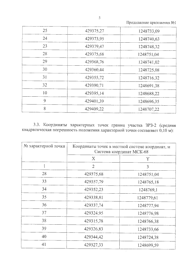
"Об установлении зон охраны объекта культурного наследия регионального значения "Дом жилой" (Тамбовская область, г. Тамбов, ул. Сергеева-Ценского, 32) и утверждении требований к градостроительным регламентам в.границах территорий данных зон"
Номер опубликования: 6801202205120011
Дата опубликования: 12.05.2022
Страница №7 из 15:
Увеличить