Официальное опубликование правовых актов
ОФИЦИАЛЬНОЕ ОПУБЛИКОВАНИЕ
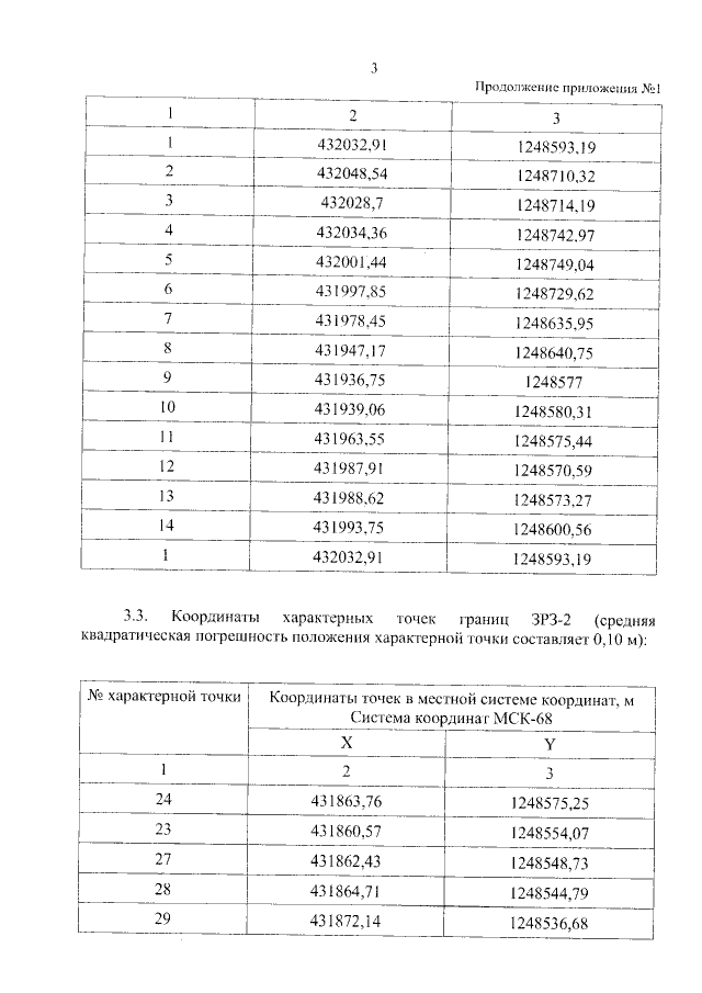
Приказ Управления по государственной охране объектов культурного наследия Тамбовской области от 28.04.2022 № 89
"Об установлении зон охраны объекта культурного наследия регионального значения "Церковь бывшего Вознесенского монастыря" (Тамбовская область, г.Тамбов, ул.Московская, 37) и утверждении требований к градостроительным регламентам в границах территорий данных зон"
Номер опубликования: 6801202204280005
Дата опубликования: 28.04.2022
Страница №5 из 11:
Увеличить