Официальное опубликование правовых актов
ОФИЦИАЛЬНОЕ ОПУБЛИКОВАНИЕ
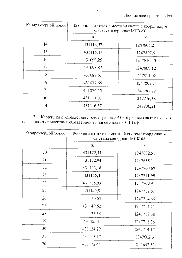
Приказ Управления по государственной охране объектов культурного наследия Тамбовской области от 18.02.2022 № 42
"Об установлении зон охраны объекта культурного наследия регионального значения "Дом К.Н.Никонова‚ где в 1918-1919 гг. размещался народный университет" (Тамбовская область, г. Тамбов, ул.Державинская/ул.Носовская, д.28/13) и утверждении требований к градостроительным регламентам в границах территорий данных зон"
Номер опубликования: 6801202202180004
Дата опубликования: 18.02.2022
Страница №6 из 12:
Увеличить