Официальное опубликование правовых актов
ОФИЦИАЛЬНОЕ ОПУБЛИКОВАНИЕ
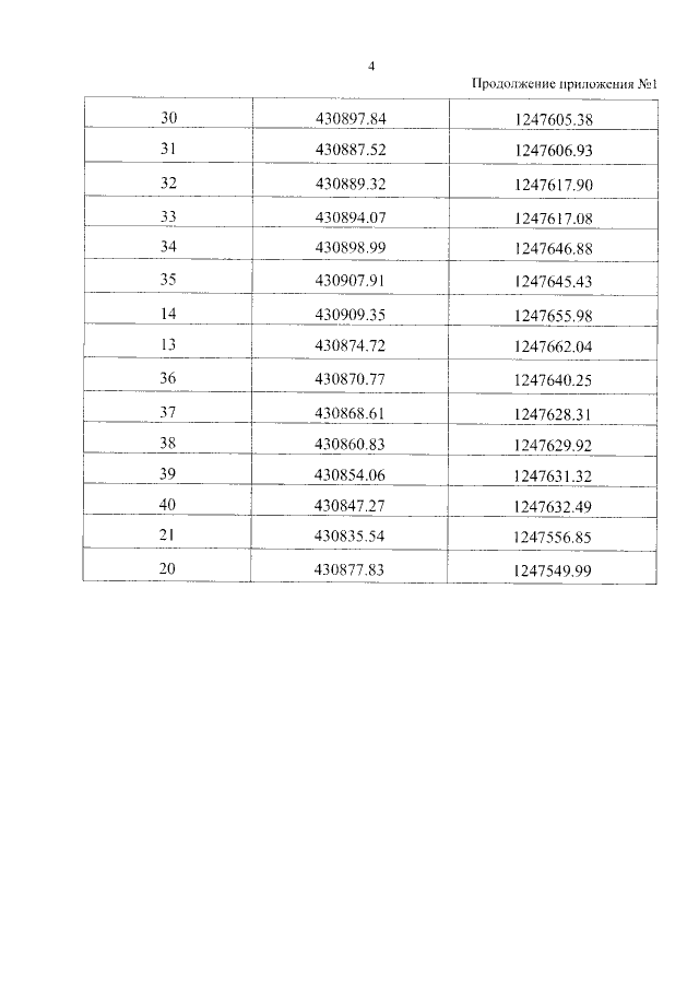
Приказ Управления по государственной охране объектов культурного наследия Тамбовской области от 17.11.2021 № 179
"Об установлении зон охраны объекта культурного наследия регионального значения "Архитектурный комплекс" (Тамбовская область, г. Тамбов, ул. Коммунальная, д. 22; ул. Коммунальная‚ д. 24; ул. Коммунальная‚ д. 26; ул. Коммунальная‚ д. 28; ул. Базарная/ул. Коммунальная, 105/30) и утверждении требований к градостроительным регламентам в границах территорий данных зон"
Номер опубликования: 6801202111220003
Дата опубликования: 22.11.2021
Страница №6 из 13:
Увеличить