Официальное опубликование правовых актов
ОФИЦИАЛЬНОЕ ОПУБЛИКОВАНИЕ
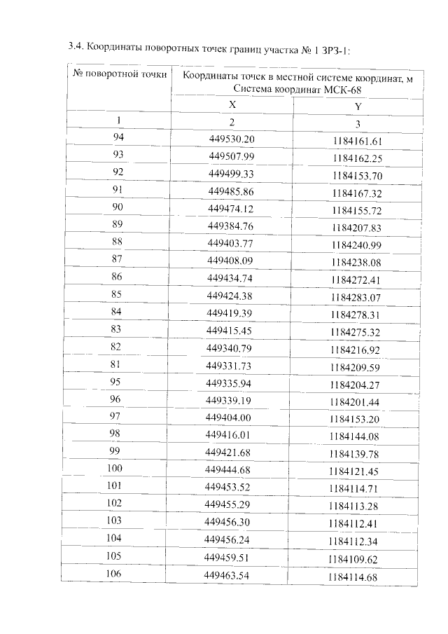
Приказ Управления по государственной охране объектов культурного наследия Тамбовской области от 09.11.2021 № 173
"Об установлении зон охраны объекта культурного наследия регионального значения "Бывший жилой дом" (Тамбовская область, г.Мичуринск, ул. Герасимова/Филиппова, д.84/61) и утверждении требований к градостроительным регламентам в границах территорий данных зон"
Номер опубликования: 6801202111100004
Дата опубликования: 10.11.2021
Страница №12 из 33:
Увеличить